51c大模型~合集95
我自己的原文哦~ https://blog.51cto.com/whaosoft/12909750#纽约大学教授感受到了AI博士生的焦虑与挫败2024 年 12 月 10-15 日,今年度的 NeurIPS 已在加拿大温哥华成功举办。今年的会议上,我们看到了Ilya Sutskever 关于预训练即将终结的预测,也看到了引发广泛争议的MIT 教授 NeurIPS 演讲公开歧视中国学生的事件。该会议
我自己的原文哦~ https://blog.51cto.com/whaosoft/12909750
#纽约大学教授感受到了AI博士生的焦虑与挫败
2024 年 12 月 10-15 日,今年度的 NeurIPS 已在加拿大温哥华成功举办。今年的会议上,我们看到了 Ilya Sutskever 关于预训练即将终结的预测,也看到了引发广泛争议的 MIT 教授 NeurIPS 演讲公开歧视中国学生的事件。
该会议也展现了人工智能领域的研究盛况 —— 本届 NeurIPS 共收到 15671 篇有效论文投稿,比去年又增长了 27%,但最终接收率仅有 25.8%。如此低的接收率就必然意味着许多研究者的失意和挫败。但这并不是研究者们感到挫败的唯一原因。
近日,纽约大学计算机科学和数据科学教授、生物技术公司 Prescient Design 联合创始人兼资深主管 Kyunghyun Cho 一篇题为「我在 NeurIPS’24 上感受到了焦虑和挫败」的博客文章引发了广泛讨论。他在文中指出,现在许多博士生和博士后很有挫败感,因为许多学校培养的本科生就已经具备企业所需的标准化机器学习开发技能,而大量博士生却因此找不到合适的工作;原因是随着 AI 相关技术的产品化,企业对博士技能(研究和创新)的需求已经大幅下降,而更多需要支持其产品迭代的工程师。
看完这篇文章后,许多读者也分享了自己的经历和看法。
有 AI 博士现身说法,指出很多博士研究者对学术环境之外的状况关注不足,从而对未来的职业有了过高的期待。

一些读者对文章表示认可,表示要在科技行业工作,光有专业技能还不够,还得通过 leetcode / 系统设计和领导力准则考试。

而博士研究者虽然收入高,但行业需求不足,毕竟一家公司并不需要那么多研究科学家:

但也有读者并不认可,表示参加 NeurIPS 的人已经有顶会论文傍身,找份工作应该不难。

以下是 Kyunghyun Cho 教授的博客全文,也请与我们分享你的经历和看法。
我在 NeurIPS’24 上感受到了焦虑和挫败
上周在 NeurIPS’24 上,一个非常突出的现象是:四年级博士生和博士后表现出了焦虑和挫败,他们对就业市场感到困惑,因为无论是看起来还是感觉上,就业市场与他们五年前申请博士项目时的预期大不相同。并且,其中一些博士生和博士后正是在我自己的指导之下。这让我反思人工智能研究和开发领域正在发生的情况。这篇文章更像是一连串的思考,而不是一篇结构良好的文章(不过我好像也没有写过一篇结构良好、经过深思熟虑、准备充分的博客文章。)。
对机器学习领域以及更广大的人工智能领域而言,过去十年左右是一段非常有趣的时间。从 2010 年左右的语音识别开始,深度学习已经在当年的最佳技术上实现了大幅提升,并且已经可以解决多种多样的高难度也实用的问题,比如从图像中识别物体和机器翻译。到 2014 年,很明显大的要来了,每一家大公司,无论是不是科技公司,都想确保自己是这场持续革命的一部分,并从中获利。
由于那时候,深度学习很多年来都未曾成为主流,因此几乎没有本科课程严肃地教授深度学习背后的基本思想和技术。事实上,当然许多机器学习和人工智能课程都只会简单提到人工神经网络。于是,深度学习人才方面出现了巨大的供需不平衡,这就迫使那些比其他公司更早看到这场革命的公司激进地从全球少数实验室招募博士生。
因为当时世界上只有少数几个实验室在认真研究深度学习(不像现在这样),所以公司们都在激烈争夺这些实验室的毕业生甚至教授。这种激烈的争夺自然导致这些拥有人工神经网络经验和专业知识的博士生的薪酬大幅增加。这使得人工智能领域中的学术薪酬与行业薪酬之间的差距还要更大,让大学很难招募到此类人才来教育学生。事实上,在 2010 年至 2015 年期间获得博士学位并且在攻读博士学位期间研究人工神经网络,并作为终身教职人员加入大学的人非常少,我就是其中之一。这种现象自然会导致人才供应的增加大大延迟,而需求还在继续飙升。
这种激烈的人才争夺有一个有趣的副作用:即使这些人才不能为营收或利润做出贡献,公司也会招募他们。这些公司聘用他们的原因是为不可避免的、迫在眉睫的革命做好准备 —— 这场革命将改变他们所做的一切。因此,那时候很多被聘用的博士的任务就是自由地做研究;也就是说,他们可以选择自己想做的事情,发表自己想发表的文章。这就像一个学术研究职位,但薪酬是原来的 2-5 倍,而且外部可见度更高,没有教学任务、行政开销,也没有不断撰写资助提案的压力。真是一个绝佳的机会!
我想,这在当时的学生看来是个不可错过的机会,包括大学生和高中生(甚至初中生)。有机会获得惊人的金钱回报、优厚的福利,可以自由选择自己喜欢的研究课题,只要它是在人工智能领域内。然而,这个机会看起来只提供给在人工神经网络方面发表过学术论文的博士。这就导致大量的博士申请者申请成为(现在所谓的)人工智能博士生(AI PhD students)。
申请者的大量涌入并不一定意味着我们最终会有大量博士生,因为限制博士生数量的并不是申请者的数量,而是导师的数量。虽然 15 年前那会儿,研究人工智能的实验室并不多,但到 2016 年时,许多教授已经将他们的实验室转型为深度学习实验室,并通过招收大量博士生来积极扩大实验室规模。
因此,我们似乎已经造出了一个非常好的 AI 人才训练管道。很多优秀的学生申请攻读博士学位。大量研究 AI 的教授录取并培养这些优秀的学生成为下一代博士。少数大型科技公司和其他公司用难以想象的优厚薪酬和研究自由来聘用他们。
然而,事后看来,这显然是不可持续的。要继续下去,唯一的办法就是让深度学习继续成为能够在五年内彻底改变行业(甚至整个社会)的东西,而且每年都必须是五年。如前所述,公司正在招募这些人才,并投资建设给他们进行研究的环境,以应对未来不可避免的变化。换句话说,他们必须为未来做准备,才能让这条管道继续下去。
第一代幸运的博士(包括我!)是因为运气好(或不好)进入了这个领域,而不是因为职业前景;之后,我们开始有一系列更聪明、更有目标的博士从事深度学习工作。因为这些人非常有动力,他们不是靠运气而是靠他们的优点和热情被选中。他们开始取得更快、更明显的进步。不久之后,这些进步开始以实际产品的形式出现。尤其是以大规模对话语言模型为代表的大规模模型开始展现出:这些产品是真正革命性的产品,既可以改变未来,又可以在当下产生经济价值。换句话说,通过将深度学习变成大规模对话语言模型及其变体形式的产品,这些新一代的优秀博士们成功地将未来带入了当下。
产品化意味着很多事情,但本文尤其关注两个方面。
第一,产品化需要在开发和部署过程中实现某种标准化。然而,这种流程标准化与科学研究背道而驰。我们不需要持续不断的创造性和颠覆性创新,而需要基于标准化流程的渐进式和稳定的改进。博士们不擅长这方面,因为这恰恰与博士项目的培养目标背道而驰。博士生的目标是提出创新的想法(是的,虽然每个想法都能否算是创新想法这一点值得商榷,但往往至少有大量噪声才算是创新),从理论或实证角度验证这些想法,通过撰写论文向社区报告研究结果,然后继续前进。一旦某样东西变成了真正的产品(或产品类别),我们就不能简单地创新然后继续前进,而需要坚持下去,不断为它提供支持。有了完善的流程体系,博士学位的必要性就会迅速消失。
第二,产品化创造了一条通往收入的明显而具体的路径。这对那些投资招募这些杰出人才并提供资源让他们在组织内部而不是其他地方进行创新的公司来说是件好事。不幸的是,一旦有了一条通往收入(最终是利润)的具体路径,研究人员就越来越难以继续要求充分的研究自由。许多人将被要求直接为产品(或产品类别)做出贡献,并证明他们的报酬以及整体就业情况的合理性,只有少数人将被允许继续享有研究自由。这是很自然的事情,也可能是大多数组织(包括营利组织、非营利组织、政府组织等)的研究团队往往比产品团队小得多、获得的资源也少得多的原因。
此外,在过去几年中,大学在一定程度上跟上了需求,开始对本科生和硕士生进行这些新技术背后的基础知识和实用理念方面的教育、培训和培养。他们知道如何训练这些模型、测试这些模型和部署这些模型,以及这些模型背后的理论理念。更好的是,他们大概率没有博士那么「自我」,而且通常思想更加开放。
这些因素加在一起,彻底打破了之前概述的人工智能人才梯队。公司不再需要那么多博士,因为他们可以招聘本科生或硕士生,这些学生可以按照标准化流程立即直接为人工智能产品做出贡献。学生们不需要进入博士课程学习必要的技能,因为大学可以将其作为本科课程的一部分进行培训。目前的博士生们,即使是因为基于这一人工智能人才梯队的积极职业前景而加入博士课程,也会被排除在人工智能人才梯队的这次大重组之外。
在这一点上,这些即将结束博士学业的学生焦虑和挫败的程度大大增加也许并不奇怪。他们仰慕我这一代人(虽然还相对年轻、资历较浅,但在这个领域可能算是资历较深的人),认为只要他们的博士学位与机器学习及邻近领域有一定关联,他们就能享有类似的职业前景 —— 成为大科技公司的高薪研究科学家,享有极大的研究自由。
但从他们的角度来看,就业市场突然要求他们在大规模语言模型及其变体这个狭窄得多的领域展示自己的创新能力,并直接为这些建立在大规模模型之上的产品做出贡献。
话虽如此,但我必须强调,这绝不意味着这些大模型之外的人工智能研究课题不重要或不受追捧。
例如,在 Prescient Design 公司,我们一直在不断招聘博士级研究科学家,他们专门从事不确定性量化、因果机器学习、几何深度学习、计算机视觉等方面的研究,因为这些领域的研究和开发与我们的工作(即 lab-in-the-loop)直接相关。
大模型只是近年来备受关注的人工智能的一个特殊子领域。我对这些大模型的进展和进步感到无比兴奋,但它们并不是唯一值得关注和投资的领域。然而,对大语言模型及其变体的关注程度高得离谱,这很容易蒙蔽我们的眼睛,尤其是那些还是学生的人,甚至是所谓精英大学的教师。学生们如果没有或正在撰写关于大模型的论文,自然会感到焦虑,因为他们可能得不到这些机会。
在这一点上,我觉得上周在 NeurIPS 大会上与高年级博士生和博士后的交谈和聆听中感受到的高度焦虑和挫败感是事出有因的。他们中的一些人可能感到被背叛了,因为他们之前得到的承诺与现在看到的差距正在迅速拉大。他们中的一些人可能感到无助,因为他们选择的研究课题和他们在这些课题上的工作似乎不太受这些公司的欢迎。他们中的一些人可能感到挫败,因为本科生或硕士生似乎更擅长训练和部署这些大模型,而且看起来比他们更有价值。
遗憾的是,我只能努力理解这些才华横溢的学生感受到的焦虑和挫败感,却想不出什么办法来帮助他们减轻这种挫败感!
参考链接:
https://kyunghyuncho.me/i-sensed-anxiety-and-frustration-at-neurips24/
...
#xxx
...
#xxx
...
#xxx
...
#xxx
...
#xxx
...
#xxx
...
#FDA(Model Merging with Functional Dual Anchors)
FDA对偶锚点:模型知识迁移的新视角——从参数空间到输入空间
该项工作的作者分别是来自香港中文大学的博士生施柯煊,来自西湖大学的助理教授温研东,来自香港中文大学的计算机系助理教授刘威杨。
当前,基于通用基础模型进行任务特定微调已成为主流范式。这种范式虽然能够在各个特定任务上获得高性能的专家模型,但也带来新的挑战:如何将这些特定微调得到的专家模型的能力有效整合到单一模型中并且无需访问原始训练数据,实现多任务协通,同时最小化性能损失?
针对这一问题,研究者们提出了 FDA(Model Merging with Functional Dual Anchors)——一个全新的模型融合框架。与传统的参数空间操作不同,FDA 将专家模型的参数知识投射到输入-表征空间中的合成锚点,通过功能对偶的方式实现更高效的知识整合。
- Title:Model Merging with Functional Dual Anchors
- Arxiv:https://arxiv.org/pdf/2510.21223
- Project page:https://spherelab.ai/fda/
FDA 的关键思想是:将参数中所蕴藏的任务知识,用输入空间的一组对偶的合成输入点(Dual Anchors)来表示;使用合成输入点所诱导的联合梯度,更新模型,以整合多任务知识。
具体来说,任务知识在参数空间上可以体现为模型最终的参数与初始参数的差异向量(任务向量,Task Vector)。FDA 为每一个专家模型,构造一组 Dual Anchors,使其能够在初始参数处诱导出与任务向量近似的梯度方向。相似的梯度方向,可以让 FDA 近似地模拟任务知识对预训练模型的函数偏移。
相比于任务向量将任务知识编码在参数空间,FDA 则通过诱导相似梯度在输入空间编码对应的任务知识。因此,FDA 相对于任务向量而言,是一组在函数功能上对偶的输入点。
FDA 将知识的整合过程,从参数空间迁移至输入空间。相比于先前的基于任务向量算术操作的框架,FDA 为当下的 Model Merging 问题提供了一种新的视角。为了兼顾性能与实用性,研究者还开发了基于分层策略的算法来部署 FDA 框架,使其可以扩展至超大规模的神经网络模型。实验结果表明,该方法在视觉、自然语言模型上表现出卓越的性能和可扩展性。

图 1:FDA 框架的示意图。
FDA 框架的直觉理解与动机
当前的主流 Model Merging 方法,本质是基于任务向量的算术操作,即对不同的任务向量进行线性组合,然后加至预训练参数,以获得一个多任务模型。因此,任务向量的算术操作,只能产生固定的合并路径;然而,FDA 方法则提供了一个可以根据融合过程中的损失函数景观诱导新合并路径的机会。研究者们将获得的 FDA 视作微调数据,逐步优化预训练模型的参数。
如下图所示,使用 FDA 进行优化时,模型会逐步靠近在八个下游数据集上计算得到的损失函数局部最小值(local minima)区域。相比之下,任务向量(task vectors)虽然能够在一定程度上提供来自预训练模型的优化方向,但它们往往会迅速偏离原本的损失盆地;而 FDA 则能够持续地引导优化过程朝向更有利的区域。FDA 的这一优势类比于联合多任务训练的灵活性。
FDA 的另一项核心动机在于:对输入空间进行建模通常比对参数空间建模更容易,因为输入空间往往具有更强的结构性(structured)。在知识迁移(knowledge transfer)的研究中,基于输入空间建模的有效性已被广泛探讨并通过大量实证验证。例如,在数据集蒸馏 [1, 2, 5, 6]、迭代式教学 [3, 4] 以及持续学习 [7, 8] 等领域的研究中,都充分展示了输入空间建模在促进知识高效迁移与压缩方面的强大潜力。
FDA 提供更灵活和鲁棒的融合路径
为验证 FDA 的有效性,研究者们将 FDA 用于对多种不同尺寸的预训练模型(80M、125M、400M、13B)进行适配,并将其多任务性能与对应的对偶框架(即任务向量方法,Task Vectors, TA)进行比较。为进一步验证其鲁棒性,研究者们在实验中将预训练模型初始化为通过无数据(data-free)任务向量方法融合得到的参数。研究者们共考虑了三种无数据融合方法:TA [9]、TSVM [10] 和 WUDI [11]。其中,TA 是经典方法,而 TSVM 与 WUDI 则代表当前的 SOTA 方法。部分实验结果如上表所示,更多结果可参考论文正文。

图 2:FDA 的部分实验的结果。
从结果中,研究者们得到两个关键观察结论:
观察 1:FDA 能够更有效利用模型编码的知识,实现高效的多任务模型融合:
与对偶框架 TA 相比,FDA 带来了显著的性能提升。使用 FDA 适配后的预训练模型在多任务场景下的平均性能达到 87.26,而 TA 方法仅为 73.94,提升幅度接近 18%;与此同时,平均 GLUE 分数也提升了 15.4%。
观察 2:FDA 具备灵活的知识建模能力:
尽管 FDA 与其他无数据、以参数为中心的方法(如 TA、TSVM、WUDI)使用了相同的任务特定知识,FDA 仍能在此基础上进一步提升融合模型的性能。在 ViT-B/16 上,FDA 的平均提升约为 5.10%,而在 RoBERTa-Large 上则达到约 13%,展示出其在不同架构下的通用性与强大适配能力。
FDA 算法实现
FDA 的实际算法流程主要包括两个阶段:FDA 的构建(Construction)和基于 FDA 的参数更新(Adaptation)。
阶段一:针对每一个下游任务的微调模型(checkpoint)构建其对应的 FDA。具体来说,给定预训练模型以及对应的微调模型
![]()
,研究者们通过求解以下优化问题构造 FDA 的样本集合

:

其中,

表示梯度方向的余弦距离;

为矩阵的向量化操作;

为可微分的表示差异度量函数。该优化问题采用基于梯度的迭代优化方法求解。由于梯度优化过程对初始化敏感,研究者们分析了线性编码器(linear encoder)下 Dual Anchors 的优化动态,并提出以下原则:
有效的初始化策略应当将初始点的能量限制在由任务向量(task vector)所张成的尾部子空间(tail subspace)。
研究者们进而导出两种实用的初始化方案:线性权重采样(Linear weight sampling)和缩放高斯采样(Scaled Gaussian sampling),来进行初始化。
阶段二:该阶段利用阶段 1 构造得到的 FDA 对参数进行更新。具体来说,是阶段一的对偶过程。当初始参数本身为预训练参数时,研究者们直接用 FDA 对参数进行更新:

当初始参数初始化为基于任务向量方法的融合参数时,目标转变为对任务向量的调节:

研究者们将具体的算法流程整理成如下伪代码:

图 3:FDA 具体算法的伪代码。
FDA 所编码的任务知识
得益于 FDA 优越的性能,研究者们进一步探索 FDA 中编码知识的过程。研究者们通过系统的实证分析来揭示 FDA 背后潜在的机制:
观察一:在优化过程中,FDA 倾向于长尾结构。研究者们对 FDA 矩阵进行奇异值分解发现(图 4):无论采用何种初始化方式,在构建过程中归一化后的尾部奇异值均快速衰减。这表明:
- FDA 有效捕捉了任务相关的主导表示方向;
- 自动抑制了冗余或噪声成分;
- 与任务特定知识在参数空间通常表现为低秩结构的观察一致。

图 4:FDA 的 SVD 谱。
观察二:在优化过程中,FDA 的高能量子空间逐渐与真实数据的高能量子空间对齐。鉴于 FDA 具有长尾结构(long-tailed structure),研究者们进一步通过投影矩阵(Projection Matrix)来衡量真实数据与 FDA 之间前若干主奇异向量(top singular vectors)子空间的相似性。
从图 5 的示例可以看到,随着优化过程的进行,这种相似性逐渐提高。这一结果表明,FDA 中所编码的知识与真实任务数据之间存在潜在的关联——即在优化过程中,FDA 逐步对齐了由真实数据所定义的任务相关子空间,从而在功能层面有效捕获了任务知识的本质结构。

图 5:FDA 的子空间对齐。
观察三:在优化过程中,FDA 所诱导的参数更新与真实数据所诱导的更新逐渐对齐。研究者们进一步从参数空间(parameter space)的角度分析 FDA 的性质,即考察其在模型参数上的诱导更新。具体而言,研究者们将这种由 FDA 引发的参数变化投影到由真实数据产生的参数更新向量所张成的非负锥空间(non-negative cone)中。
如图 6 所示,无论是在预训练模型还是融合模型中,投影能量(projection energy)都随着优化过程逐步上升。这一结果表明,FDA 在训练过程中不断产生稳定且具有方向性的任务特定功能偏移(task-specific functional shifts),即 FDA 的适配动态与真实任务学习过程在功能空间上形成一致性,从而体现出其在捕捉任务相关知识方面的稳健性与有效性。

图 6:FDA 的参数更新对应的投影比例。
更为详尽的讨论与实证结果见论文附录。
参考文献
[1] Tongzhou Wang, Jun-Yan Zhu, Antonio Torralba, and Alexei A Efros. Dataset distillation.
[2] George Cazenavette, Tongzhou Wang, Antonio Torralba, Alexei A Efros, and Jun-Yan Zhu. Dataset distillation by matching training trajectories.
[3] Weiyang Liu, Bo Dai, Ahmad Humayun, Charlene Tay, Chen Yu, Linda B Smith, James M Rehg, and Le Song. Iterative machine teaching.
[4] Zeju Qiu, Weiyang Liu, Tim Z Xiao, Zhen Liu, Umang Bhatt, Yucen Luo, Adrian Weller, and Bernhard Sch¨olkopf. Iterative teaching by data hallucination.
[5] Bo Zhao, Konda Reddy Mopuri, and Hakan Bilen. Dataset condensation with gradient matching.
[6] Bo Zhao and Hakan Bilen. Dataset condensation with distribution matching.
[7] Hanul Shin, Jung Kwon Lee, Jaehong Kim, and Jiwon Kim. Continual learning with deep generative replay.
[8] Longhui Yu, Tianyang Hu, Lanqing Hong, Zhen Liu, Adrian Weller, and Weiyang Liu. Continual learning by modeling intra-class variation.
[9] Gabriel Ilharco, Marco Tulio Ribeiro, Mitchell Wortsman, Suchin Gururangan, Ludwig Schmidt, Hannaneh Hajishirzi, and Ali Farhadi. Editing models with task arithmetic.
[10] Antonio Andrea Gargiulo, Donato Crisostomi, Maria Sofia Bucarelli, Simone Scardapane, Fabrizio Silvestri, and Emanuele Rodola. Task singular vectors: Reducing task interference in model merging.
[11] Runxi Cheng, Feng Xiong, Yongxian Wei, Wanyun Zhu, and Chun Yuan. Whoever started the interference should end it: Guiding data-free model merging via task vectors.
...
#LeJEPA
LeCun在Meta的最后论文?还是共同一作,LeJEPA:JEPAs理论拼图补完
这可能是 LeCun 在 Meta 发表的最后几篇论文之一。这次,LeCun 为 JEPA 架构补上了关键的理论拼图。
学习世界及其动态的可操控表征是人工智能的核心。联合嵌入预测架构(JEPAs)是实现这一目标的有前景的蓝图。其核心思想是:通过最大化语义相关视图(例如图像的不同变换或裁剪)的嵌入之间的一致性,来学习一个有组织且可操作的高维嵌入空间。
然而,当前的 JEPA 训练方法缺乏坚实的理论指导,导致研发过程临时且脆弱。它们面临一个共同的难题:表征崩溃(即所有输入都映射到相似的嵌入)。
为了缓解这种「捷径解」,当今的先进方法严重依赖各种复杂的「启发式方法」,例如:停止梯度、教师-学生网络(及精心调整的 EMA 调度)、非对称的视图生成、显式的归一化和白化层。
这些机制不仅使训练过程复杂、脆弱,而且对超参数、架构和数据分布非常敏感,并且缺乏坚实的理论保证。
LeCun 团队提出了一个关于 JEPAs 的全面理论,并将其具体化为 LeJEPA,这是一个精简、可扩展且有理论基础的训练目标。
- 论文标题:LeJEPA: Provable and Scalable Self-Supervised Learning Without the Heuristics
- 论文地址:https://arxiv.org/abs/2511.08544
团队首先提出了一个关键问题:JEPAs 的嵌入应遵循什么样的最优分布?
首先,团队证明了各向同性高斯分布是基础模型的最佳嵌入分布。在广泛的下游任务族中(无论使用线性还是非线性探针),该分布都能唯一地最小化下游预测风险。这一理论结果将 JEPA 的设计从依赖「启发式」的探索,转向了有目标的、基于理论的最优化。
基于这一理论,研究团队引入了一种新颖的分布匹配目标:概略各向同性高斯正则化(SIGReg)。
SIGReg 是一种新颖的目标,它通过随机投影和特征函数匹配来高效地强制嵌入服从理想的各向同性高斯分布。
它独特地结合了可证明的正确性与大规模计算效率:
- 理论上合理: 提供了统计保证和有界梯度。
- 计算上高效: 实现了线性(而非二次方)的时间和内存复杂度,并克服了高维嵌入中的「维度灾难」。
最终,通过将 JEPA 的预测目标与 SIGReg 相结合,LeJEPA 成为了一个通过构造就能消除表征崩溃的、具有统计最优性的 JEPA 解决方案。
这种有原则的理论设计直接带来了实践中的简洁性、鲁棒性和高性能。
- 告别启发式: 无需停止梯度、教师-学生网络、EMA 调度器或显式白化层。
- 极致简洁: 整个设计只有一个权衡超参数。
- 高效稳定: 具有线性的时间和内存复杂度,在不同超参数、架构(ResNets、ViTs、ConvNets 等)和领域中均保持高度稳定性。
- 易于实现: 其分布式训练友好型实现仅需约 50 行代码。
实验涵盖 10 多个数据集和 60 多种架构(规模接近 10 亿参数),LeJEPA 达到或超过了最先进的方法。例如,在 ImageNet-1K 上预训练并进行线性评估,LeJEPA(ViT-H/14)达到了 79% 的准确率。
更重要的是,LeJEPA 在特定领域的数据集(如 Galaxy10、Food101)上,直接进行领域内预训练的效果优于基于 DINOv2 的迁移学习。这表明,有原则的 SSL 可以解锁以往被认为在小型数据集上不切实际的领域内预训练。
从名字 LeJEPA 也能看出来,这篇论文对 LeCun 来说似乎有特别的意义,评论区的反响也很好。



所以,LeCun 的创业公司会叫 LeAGI 吗?
LeJEPA: 稳定且可扩展的实现
在确定了各向同性高斯分布是基础模型的理想嵌入分布,并引入了 SIGReg 之后,团队提出了完整的 LeJEPA 框架。
LeJEPA:SIGReg + 预测损失
SIGReg 损失。研究者选择(Epps–Pulley)检验,因为它具有可证明的有界性(定理 4)和可扩展性。其实现基本遵循方程,只是积分部分使用了求积近似(一种数值估算方法)来进行估计。
研究发现,即使节点数少至 17,简单的梯形求积法则也足够了(如图 20 所示)。另外,研究者利用被积函数的对称性来免费将节点数加倍(详见官方代码)。

另一方面,使用小批量(minibatch)会引入一个偏差,该偏差以
![]()
的速率消失。

因此,使用(Epps–Pulley)得到的梯度带有一个显式的
![]()
偏差项。研究者发现这种偏差非常小,即使对于小至 16 的小批量也不是问题。无偏的替代方案(如 U-统计量去偏或样本分割)在本研究中未予探索。
预测损失。为了统一符号,该研究采用了 DINO 的设置,生成

个全局视图和

个局部视图(总共

个)。该设置将每个

的前

个索引设为全局视图。若无局部视图,则

。预测损失由所有视图共同预测全局视图来计算:

其中

定义为全局视图的平均嵌入,从方程(6)到方程(7)的推导详见论文 B.6 节。
LeJEPA 损失。最终的总损失只是将上述预测损失与每个视图上的 SIGReg 结合起来,如:

总而言之,整个实现——除了常规的模型定义、优化器和数据加载器——在 PyTorch 中只需要几十行代码。由于该框架不依赖原型、停止梯度和教师-学生网络,因此非常简洁,只包含一个超参数
![]()
,用于平衡预测项和各向同性高斯项之间的权衡。与先前工作的关系
在展示实验之前,研究者最后讨论了 LeJEPA 和 SIGReg 目标与文献中现有框架的关系。
虽然目前没有在 JEPA 中使用这种切片和分布匹配的解决方案,但在生成模型和最优传输领域存在类似的流程,例如切片分数匹配和切片 Wasserstein 距离。
此外,当(Epps–Pulley)检验的积分被精确计算时,每个切片损失值在数学上接近于核 MMD 方法。
最后,研究指出,通过在 LeJEPA 中使用特定的检验(而非首选的 Epps–Pulley),可以在极限情况下恢复某些现有的 SSL 框架(如 VICReg)。然而,基于定理 3,研究者强烈反对这种设置,因为它会导致捷径解,这一现象在 VICReg 中已被观察到。
LeJEPA:实证验证
实验表明 LeJEPA:(i)在不同架构和数据集上都能可靠训练,(ii)为模型选择提供了信息丰富的训练损失,(iii)在小规模域内预训练上优于前沿视觉模型,(iv)在 ImageNet-1k 上成功扩展到近 10 亿参数,以及(v)无需显式监督即可学习丰富的语义分割特征。
LeJEPA 在不同超参数和架构上的稳定性在标准超参数上的稳定性
研究者首先在 ImageNet-100 和 ImageNet-1K 上评估 LeJEPA。在 ImageNet-100 上,他们训练一个 ResNet-50,并改变视图数量和损失权重
![]()
。性能在这两个维度上都保持稳定,因此推荐
![]()
= 0.05 作为一个稳健的默认值。
在 ImageNet-1K 上,研究者训练一个 ViT-Large/14,并探索了批量大小以及全局

和局部

视图的数量。研究发现先前工作中常用的配置(

)能很好地迁移到 LeJEPA。值得注意的是,LeJEPA 在 ImageNet-1K 上使用小至 128 的批量大小即能达到有竞争力的性能,这表明其内存需求有所降低。
Epps-Pulley 超参数的稳定性
接下来研究检查了 LeJEPA 特有的超参数:SIGReg 的切片数量、(Epps–Pulley)检验的积分设置等。
结果显示,积分的具体设置(如积分域和求积点数)对性能影响极小。切片数量有适度影响——虽然更多的切片会略微提高性能,但即使 512 个切片也能产生有竞争力的结果。因此,研究者推荐了 17 个积分点、[-5, 5]的积分域和 1024 个切片作为起始点。
架构的稳定性
LeJEPA 相较于最近的方法(例如 IJEPA、DINOv2)的一个关键优势是其架构无关的设计。
为了验证这一点,研究者在 ImageNet-10 上预训练了来自 8 个不同族的约 50 种架构。所有模型都能够学习到高质量的表示,通过冻结主干进行线性探测,top 1 准确率达到了 91.5% 到 95%。
移除流行的启发式方法
LeJEPA 的可证明构造使其能够移除许多传统上用于防止坍塌的启发式方法。先前的工作表明,预测器和教师-学生架构主要用于防止坍塌。得益于 LeJEPA 的 SIGReg 损失,该框架可以同时移除预测器和教师-学生架构,而不会遭受坍塌(如表 4 所示)。

其次,最近的工作表明需要使用寄存器令牌来防止训练不稳定。表 1 的结果表明,这种不稳定性可能源于条件不良的训练目标。相反,LeJEPA 不需要寄存器令牌,无论有无它们都能实现稳定性能。

LeJEPA 的训练损失对下游性能具有信息指示性
SSL 预训练中的一个主要挑战是训练损失与下游性能的相关性很低。
相比之下,研究发现 LeJEPA 的训练损失为模型质量提供了有意义的信号。如图 10 所示,SIGReg 损失和预测损失与下游任务准确率之间存在清晰趋势。
更引人注目的是,组合训练损失(LeJEPA)与下游任务的准确率表现出非常高的相关性(斯皮尔曼相关性

约为 85%)。这意味着更低的训练损失可靠地指示了更好的下游性能。
研究者还发现,通过一个基于超参数
![]()
的简单缩放定律(公式 8),可以使这种相关性达到近 99%。LeJEPA 训练损失与模型质量之间的强一致性,使得无标签的 SSL 模型选择和交叉验证成为可能。

域内 LeJEPA 优于前沿模型的迁移学习
自监督学习的一个关键承诺是学习通用表示。然而,目前的前沿模型(如 DINOv2/v3、IJEPA)是在自然图像上预训练的,这迫使特定领域的从业者使用大量标签进行监督微调。
为了展示 LeJEPA 的多功能性,研究者建议直接在专业领域上进行预训练,而无需更改流程。研究者选择了 Galaxy10 数据集(一个星系形态分类任务)。该研究与最新的 DINOv2、DINOv3 和 IJEPA 进行了比较。
图 12 报告了线性探测和全量微调的 top 1 准确率。结果观察到,使用 LeJEPA 进行域内预训练,在这两项评估中均显著优于顶尖的前沿模型。

表 5 中的额外结果展示了 LeJEPA 即使在小至 1000 个样本的数据集上也能有效训练。

LeJEPA 在数据和模型上均具有可扩展性
研究者接着将 LeJEPA 应用于更大的预训练数据集(ImageNet-1k)和更大的主干网络,例如 ViT/Large(3 亿参数)和 ConvNextV2-Huge(6 亿参数),分别达到了 77.1% 和 78.5% 的在线线性探测准确率。
在迁移学习方面(表 2),该研究的基线是 IJEPA(ViT-Huge,6 亿参数)及其改进版 IJEPA + STOP。结果观察到,LeJEPA 尽管使用了更小的模型和更短的训练计划,其性能仍持续优于 IJEPA。

此外,该模型在 ViT-gigantic(18 亿参数)上的训练曲线(图 1)也显示出非常稳定和平滑,表明其优化景观稳定,无需仔细的超参数调整。

LeJEPA 表示中涌现的语义结构
成功的自监督学习的一个标志是,在没有显式监督的情况下涌现出具有语义意义的注意力模式。为了评估 LeJEPA 是否学习了这种结构,研究者将其学习到的表示的注意力图进行了可视化。继 DINO 之后,该研究对嵌入应用 PCA(主成分分析)并可视化第一个主成分,其显示出与物体边界和显著区域的清晰对应关系(图 14)。

此外,研究者们探索了这些注意力模式是否能够实现无监督视频分割。通过对 [CLS] 令牌的自注意力图进行阈值处理,获得了可以在没有训练标签的情况下跨帧跟踪物体的二值掩码。
如图 13 所示,LeJEPA 的注意力以卓越的时间一致性自然地将前景物体与背景分割开来,这表明学习到的表示同时捕捉了空间语义和时间结构。这种涌现的能力表明,LeJEPA 注重稳定性的目标并没有牺牲所学特征的语义丰富性。

更多技术细节请参见原论文。
...
#Veo 2
有导演用AI生成了一部短片,看完后我确定,AI视频的时代来了
AI 大模型的发展还在快速进行中。刚刚,我看到美国导演 Jason Zada 在他的社交媒体平台 X 上发布了一个短片,他表示,这个短片中的所有画面都是由 Google 的最新视频生成模型 Veo 2 生成的。

我看了下,效果很好,我放下面你看看。
,时长01:56
看来,2025 年,AI 生成视频将会迎来新的发展阶段。最近,国内外很多公司都在密集推进着自己的视频生成产品,比如快手的可灵、抖音的即梦,还有 OpenAI 的 Sora。说个可能不是共识的观点,从目前我的观察看,谷歌在 AI 生成视频方面,应该是领先 OpenAI 的。Sora 并没有预期中的炸裂。
Jason Zada 是美国著名导游与编剧,他在 2016 年导演的《自杀森林》广受好评,此外,他参与开发的互动体验项目《Take This Lollipop》曾荣获艾美奖,全球观看人数超过 1 亿。
Jason Zada 在 LinkedIn 上透露,为了完成这条视频,他进行了几千次尝试。最终成品的效果令他无比震撼。视频的高质量、稳定性以及与原始提示词的高度一致性都超出了他的预期,让他感到非常惊讶。
当他尝试描述 “80 年代粗犷的纽约” 这一场景时,Google Video 2 总能稳定且完美地呈现出预期效果。他承认视频仍有改进空间,但坚信 Google Video 2 是目前最出色的视频生成模型,其性能远远领先于市场上的其他同类产品。
他特别强调,这部电影在制作过程中并没有引入任何视觉特效(VFX)、剪辑或色彩校正。所有的制作环节,从始至终,都是由 Veo 2 直接完成的。
他说这类工具的出现证明了一个事实:只要掌握了这项技术,有才华的电影制作人就能够将任何可能的创意变为现实。
网友们在观看视频后,纷纷表示赞叹。


Google Veo 2 是最近由 Google DeepMind 发布的新一代视频生成 AI 模型,能够制作出长达两分钟、分辨率高达 4K(4096 x 2160 像素)的视频片段。
Veo 2 在模拟真实物理效果和动态捕捉方面表现出色,它能够精确地模拟运动、流体动力学和光影效果,包括不同的镜头和电影效果,以及细致入微的人类表情。这些特性使得生成的视频片段都极具真实性,几乎可以与真实拍摄的视频相媲美。
,时长00:08
此外,Veo 2 还增强了对物理原理的理解,能够更真实地模拟运动和流体动力学,如将咖啡倒入杯子等场景。

Veo 2 还具备根据文本提示生成视频的能力,用户可以简单地通过描述他们想要的场景来指导 AI 创建视频内容。
Veo 2 还配备了高级相机控制功能,能够精确操控相机移动,创造出多样化的镜头风格和视角。
,时长00:08
为了确保生成内容的安全性和真实性,Veo 2 生成的视频将嵌入隐形的 SynthID 水印技术。这一技术不仅有助于识别 AI 生成的视频内容,还能有效打击虚假信息的传播,并确保内容的版权归属。
虽然 Veo 2 在技术上取得的进步明显,但 DeepMind 也承认在连贯性和一致性方面仍有提升空间。Veo 2 目前还无法长时间根据复杂提示生成视频。
Veo 2 目前还处于测试阶段,并不完全开放给所有用户使用,它目前通过 Google 的实验性视频创建工具 VideoFX 提供访问,但需要通过邀请制度加入等候名单,而且 Veo 2 的使用仍处于限制状态,在 VideoFX 上,分辨率最高为720p,时长限制为 8 秒。
...
#STIV
超越CogVideoX-5B、Pika、Kling 和 Gen-3!苹果再发新作,视频生成大模型全面报告
STIV模型的核心创新在于使用未加噪声的图像条件隐空间替换带噪声的隐空间,并引入联合图像-文本条件的无分类器引导(CFG)。实验结果显示,STIV在多个视频生成任务中取得了优异的性能,超越了包括CogVideoX-5B、Pika、Kling和Gen-3在内的一系列领先的开源和闭源模型。
论文链接: https://arxiv.org/abs/2412.07730
HuggingFace链接: https://huggingface.co/papers/2412.07730
亮点直击
- 提出了STIV,一个能够同时执行文本到视频(T2V)和文本-图像到视频(TI2V)任务的单一模型。其核心思想是用未加噪声的图像条件隐空间替换带噪声的隐空间,并引入联合图像-文本条件的无分类器引导(CFG)。
- 进行了 T2I、T2V 和 TI2V 的系统研究,涵盖了模型架构、高效稳定的训练技术和渐进式训练方案,以便在模型规模、空间分辨率和时长上进行扩展。
- 这些设计特性使得该模型易于训练,并能适应各种任务,包括视频预测、帧插值和长视频生成等。
- 实验包括对不同设计选择和超参数的详细消融研究,评估了在 VBench、VBench-I2V 和 MSRVTT 上的表现。结果表明,与一系列开源和闭源SOTA视频生成模型相比,所提模型在性能上具有优势。
- 8.7B 参数的模型在 512x512 分辨率下,在 VBench T2V 任务上取得了 83.1 的成绩,超越了包括 CogVideoX-5B、Pika、Kling 和 Gen-3 等领先的开源和闭源模型。在 VBench I2V 任务上取得了90.1的SOTA成绩。
动机
视频生成领域随着基于扩散Transformer(Diffusion Transformer, DiT)架构的视频生成模型 Sora的提出,取得了显著进展。研究人员一直积极探索如何将文本和其他条件有效地融入到 DiT 架构中。例如,PixArt-α利用交叉注意力,而 SD3 将文本与带噪声的图像块拼接,并使用 MMDiT 块应用自注意力。许多视频生成模型 [21, 46, 65] 采用类似的方法,在文本到视频(T2V)任务中取得了重要进展。然而,纯 T2V 方法常常难以生成连贯且逼真的视频,因为其输出没有基于外部参考或上下文约束。为了解决这一问题,文本-图像到视频(TI2V)方法引入了初始图像帧和文本提示,为生成的视频提供了更为具体的基础。尽管视频生成取得了实质性进展,但要实现像 Sora 那样的 T2V 和 TI2V 性能仍然具有挑战性。一个主要的挑战是如何将基于图像的条件无缝整合到 DiT 架构中,这要求采用创新的技术,能够平滑地将视觉输入与文本提示结合。同时,对于稳定、高效的大规模训练策略的需求日益迫切,也需要提高训练数据集的整体质量。为了解决这些问题,一种全面、分步骤的“方案”将大大有助于开发一个统一的模型框架,能够同时处理 T2V 和 TI2V 任务。克服这些挑战对推进该领域的发展,并充分实现视频生成模型的潜力至关重要。尽管已有一些研究 [2, 6, 11, 14, 49, 62, 70] 探讨了将图像条件集成到 U-Net 架构中的方法,但如何将这些条件有效地融入 DiT 架构仍未解决。此外,现有的视频生成研究往往集中在单一方面,忽略了它们对整体性能的集体影响。例如,虽然像 QK-norm这样的稳定性技巧已经被提出,但它们在模型规模增大时效果不足,而且没有现有方法成功地在单一模型中统一 T2V 和 TI2V 能力。这种缺乏系统性、整体性研究的情况限制了更高效、更多样化的视频生成解决方案的进展。
提出的方案
在本研究中,首先对模型架构和训练策略进行全面研究,为 T2V 任务建立稳健的基础。分析揭示了三个关键见解:
- 稳定性技术如 QK-norm 和 sandwich-norm对有效扩展大型视频生成模型至关重要;
- 采用因式分解的时空注意力、MaskDiT和切换到 AdaFactor显著提高了训练效率,并在性能损失最小的情况下减少了内存使用;
- 渐进式训练,即将空间和时间层从不同模型初始化,优于在相同计算约束下使用单一模型。
以 PixArt-α 为基准架构,我们通过这些稳定性和效率措施解决了扩展挑战,并通过 Flow Matching、RoPE和微条件进一步提高了性能。结果,我们的最大 T2V 模型(8.7B 参数)达到了最新的语义对齐,并在 VBench 上获得了 83.1 的分数。
随后,我们确定了在 T2V 设置中建立的最佳模型架构和超参数,并将其应用于 TI2V 任务。我们的结果表明,仅仅用未加噪声的图像条件隐空间替换第一个带噪声的隐空间,就能取得良好的性能。尽管 ConsistI2V [49] 在 U-Net 设置中提出了类似的思路,但它要求每帧进行空间自注意力,并使用基于窗口的时间自注意力来达到我们的质量。相比之下,DiT 架构天然地通过堆叠的时空注意力层传播图像条件的第一帧,从而避免了这些额外操作。然而,随着空间分辨率的扩展,我们观察到模型产生了缓慢或几乎静止的运动。为了解决这个问题,我们在训练过程中引入了图像条件的随机丢弃,并在推理过程中应用联合图像-文本条件无分类器引导(JIT-CFG)。这一策略解决了运动问题,并使得单一模型能够在 T2V 和 TI2V 任务中都表现优异。
通过这些改进,最终完成了模型,并将其规模从600M 扩展到 8.7B 参数。最佳STIV 模型在 512²分辨率下,在 VBench I2V 任务中达到了 90.1 的最新成绩。除了提升视频生成质量外,还展示了将我们的框架扩展到各种下游应用的潜力,包括视频预测、帧插值、多视角生成和长视频生成等。这些结果验证了我们方法的可扩展性和多样性,展示了其解决不同视频生成挑战的能力。
STIV的基础
基础模型架构
STIV 模型基于 PixArt-α,该模型将输入帧转换为空间和时间隐空间嵌入,使用冻结的变分自编码器(VAE)。这些嵌入随后通过一组可学习的 DiT 类块进行处理。采用 T5 分词器和内部训练的CLIP文本编码器来处理文本提示。整体框架如图3 所示。
其他重要的架构改动如下所述。
空间-时间注意力我们采用因式分解的空间-时间注意力来处理视频帧。我们首先将时间维度折叠到批次维度上,然后对空间标记进行空间自注意力。接着,我们将输出重新排列并将空间维度折叠到批次维度上,以便对时间标记进行时间自注意力。通过使用因式分解的空间-时间注意力,我们可以轻松地从一个文本到图像(T2I)模型中预加载权重,因为图像是视频的特例,只有一个时间标记,只需空间注意力即可。
单例条件使用原始图像分辨率、裁剪坐标、采样步幅和帧数作为微条件,用于编码训练数据的元信息。我们首先使用正弦嵌入层来编码这些属性,然后通过一个多层感知机(MLP)将其投影到一个 d 维的嵌入空间。这些微条件嵌入与扩散时间步嵌入以及 CLIP 模型最后一层的最后一个文本标记嵌入一起加和,形成一个单例条件。我们还对每个单例嵌入应用无状态层归一化,然后将它们加在一起。这个单例条件用于生成共享的尺度-平移-门控参数,这些参数会在每个 Transformer 层的空间注意力和前馈层中使用。
旋转位置嵌入使用旋转位置嵌入(RoPE)[56],使得模型在处理相对时间和空间关系时具有较强的归纳偏差。此外,RoPE 可以与高计算应用中使用的掩码方法兼容,并且对分辨率变化具有高度适应性 [76]。我们在因式分解的空间-时间注意力中的空间注意力部分应用 2D RoPE [39],而在时间注意力中应用 1D RoPE。
流匹配没有采用传统的扩散损失,而是选择了流匹配(Flow Matching)训练目标。该目标定义了从源分布和目标分布中分别抽取的两个样本之间的条件最优传输。在我们的案例中,我们假设源分布为高斯分布,并使用线性插值来实现这一点。

训练目标被公式化为:

其中的速度向量场 。 。
在推理时, 我们求解对应的逆向时间 SDE, 从时间步 0 到 1 , 生成从随机采样的高斯噪声 中得到的图像。
模型扩展
随着模型规模的扩大,我们遇到了训练不稳定和基础设施挑战,尤其是在将更大的模型加载到内存中的问题。本节概述了稳定训练和提高训练效率的方法。
稳定训练方案我们发现 QK-Norm —— 在计算注意力对数之前,对查询(query)和键(key)向量应用 RMSNorm —— 显著地稳定了训练。这一发现与 SD3 中报告的结果一致。此外,我们将 MHA 和 FFN 中的pre-norm改为sandwich-norm,即在 STIV 块内的每一层加入前归一化和后归一化,并使用无状态层归一化。

高效 DiT 训练我们遵循 MaskDiT的做法,在将空间标记输入主要 DiT 块之前,随机遮掩 50% 的空间token。去除遮掩后,添加了两个额外的 DiT 块。还将 AdamW 优化器更换为 AdaFactor,并使用梯度检查点(gradient checkpointing)来仅存储自注意力输出。这些修改显著提高了效率,并减少了内存消耗,使得能够在更高分辨率和更长时长下训练更大的模型。
图像条件
帧替换
在训练过程中,将第一帧的带噪隐空间替换为图像条件的未加噪声隐空间,然后再将这些隐空间输入到 STIV 块中,并对替换帧的损失进行掩蔽。在推理过程中,使用原始图像条件的未加噪声隐空间作为每个 TI2V 扩散步骤中的第一帧。
帧替换策略为扩展 STIV 到各种应用提供了灵活性。例如,如果 ,则默认为文本到视频(T2V)生成。相反,如果 是初始帧,它就成为典型的文本-图像到视频(TI2V)生成。此外,如果提供多个帧作为 , 即使没有 , 它们也可以用于视频预测。此外, 提供第一帧和最后一帧作为 可以使模型学习帧插值,从而生成它们之间的帧。更进一步地,将 T2V 和帧插值结合起来,可以生成长时间的视频:T2V 生成关键帧,帧插值则生成每对连续关键帧之间的帧。最终,通过随机选择适当的条件策略,可以训练一个模型来执行所有任务。
图像条件丢弃
如前所述,帧替换策略为训练不同类型的模型提供了显著的灵活性。在此,我们展示了一个特定的应用场景,其中我们训练一个模型来同时执行 T2V 和 TI2V 任务。在这种情况下,我们在训练过程中随机丢弃 和 ,类似于 T2V 模型仅对文本条件进行随机丢弃的做法。
无分类器引导(CFG)是文本到图像生成中常用的技术,它通过将概率质量引导到给定条件下的高概率区域,显著提高了生成图像的质量。在此概念基础上,我们引入了联合图像-文本无分类器引导(JIT-CFG)方法,利用文本和图像条件进行引导。它修改了速度估计,如下公式所示,

其中𝑠是引导系数。当时,它退化为标准的 CFG,用于 T2V 生成。尽管可以引入两个独立的引导系数,如 [4] 中所做的那样,用于平衡图像和文本条件的强度,但我们发现我们的双重传递方法取得了较强的效果。此外,使用两个引导系数需要三次前向传播,增加了推理成本。
实证观察表明,结合 JIT-CFG 使用图像条件丢弃,不仅能够自然地实现多任务训练,而且还解决了 512² STIV 模型的过时问题。假设图像条件丢弃可以防止模型对图像条件的被动过拟合,使其能够更有效地捕捉来自底层视频训练数据的运动信息。
渐进式训练方案
我们采用了渐进式训练方案,如图 4 所示。该过程首先训练一个文本到图像(T2I)模型,该模型用于初始化文本到视频(T2V)模型。接下来,T2V 模型作为初始化 STIV 模型的起点。为了促进更高分辨率和更长时长训练的快速适应,我们在空间和时间维度中都加入了插值的 RoPE 嵌入,同时使用来自低分辨率、短时长模型的权重初始化模型权重。
STIV方案研究
基本设置
在深入研究视频生成模型的架构和数据之前,我们首先介绍训练、数据和评估设置。随后,我们将介绍模型和实验研究。
训练设置除非另有说明,否则使用 AdaFactor 优化器(β1 = 0.9,β2 = 0.999),并不使用权重衰减。如果梯度范数超过 1.0,会进行梯度范数裁剪。使用恒定学习率调度,采用 1k 步的线性预热,最大学习率为 2 × 10⁻⁴。对于 T2I 模型,训练每个模型 400k 步,批量大小为 4096。对于我们的内部 T2I 数据集,这大约是 1.4 个 epoch。对于 T2V 和 TI2V 模型,训练每个模型 400k 步,批量大小为 1024。这大约是 5.5 个 epoch。对于所有模型,我们使用指数移动平均权重,衰减率为 0.9999,并将其用于评估。当使用 MaskDiT 时,在前 400k 步中使用 50% 的空间随机遮掩。此后,我们进行未遮掩的微调,使用所有tokens。对于 T2I 模型,进行 50k 步的未遮掩微调,T2V 和 TI2V 模型则进行 100k 步微调。
数据构建了一个视频数据引擎pipeline,包括视频预处理、描述生成和过滤,用于加速处理大规模视频时的模型开发。具体来说,使用 PySceneDetect 来分析视频帧,检测并分割场景,基于突发过渡和渐变淡出进行分割。接着,进行特征提取以进行过滤,包括运动分数、美学分数、文本区域、帧维度、清晰度分数、时间一致性和视频方向等。对于每个视频片段,执行密集的描述生成和分类,以全面了解视频的分布情况。
为了进一步提高描述质量,我们改编了DSG并提出了DSG-Video,一种用于评估幻觉率和描述整体质量的度量标准。该数据引擎在过滤视频和为不同训练阶段准备定制数据集方面起着至关重要的作用:我们的数据来源包括 Panda-70M和我们内部制作的 4200 万个高质量视频数据集。通过数据引擎,制作了超过 9000 万个高质量的视频-描述对。
接下来,将深入进行更细粒度的调制研究。如图 5 所示,遵循从基本的 T2I 模型到时序感知的 T2V 模型,再到通过添加图像条件的 TI2V 模型的研究原则。
评估设置我们主要使用 VBench、VBench-I2V 和 MSRVTT来评估 T2V 和 TI2V 模型。对于 VBench,主要报告质量(时间质量和逐帧质量)、语义(与不同输入文本提示的语义对齐)和总分(质量和语义的加权平均),这些分数可以分解为 16 个维度。VBench-I2V 在 VBench 的基础上新增了三个视频-图像对齐度量:主题一致性、背景一致性和相机运动控制。这些额外的度量提供了一个更全面的评估,专注于生成的视频与输入图像和指定提示指令的对齐程度。关于这些维度的更多细节,请参见 F.1 节。
我们展示了三种模型规模:XL、XXL 和 M,其配置详细信息见表 1。以下章节中,使用符号 X-S-T 来表示一个 X 大小的模型,分辨率为 S²,帧数为 T。如果没有特别说明,默认配置为 256² 分辨率和 20 帧。
T2I 关键变化的消融研究
进行了一项全面的消融研究,以了解第 2 节中提到的各种模型架构设计和训练策略对文本到图像(T2I)生成任务的影响。为了评估生成质量,使用了一套流行的自动化指标,包括 FID 分数、Pick Score、CLIP Score、GenEval、DSGEval、人类偏好分数(HPSv2)和图像奖励。
从基础 T2I-XL 模型开始,这是一个基于 DiT的模型,增强了交叉注意力层以与文本嵌入进行集成。最初,应用了一系列稳定性技术,包括 QK-norm、三明治归一化和单例条件归一化,这些都使得结果与基线相当。值得注意的是,这些技术使能够在将学习率从 提高到 时仍能稳定训练。我们证明,在训练过程中加入流量匹配(Flow Matching)并在推理时采用 CFG 重新归一化(CFG-Renormalization)显著提高了所有指标。随后,探索了减少训练内存的技术,如 AdaFactor 优化器、MaskDiT 和共享 AdaLN,这些方法保持了相似的性能。使用微条件和 RoPE 进一步降低了 FID 分数,并提高了 DSGEval 和图像奖励。最后,加入内部训练的 bigG CLIP 模型使所有指标得到了进一步提升。值得注意的是,结合合成重caption与原始caption达到了几乎所有指标的最佳结果。
基于 T2I 消融研究中的最佳模型架构和训练超参数作为 T2V 和 TI2V 实验的起点。
T2V 关键设计的消融研究
关键调制根据 VBench 评估,在模型设计中做了一些选择,如图 6a 所示。基础模型使用 2 大小的时间路径、非因果时间注意力,并使用 0.5 的空间遮掩比例。如预期所示,使用时间路径大小为 1 的模型表现最好,但在 2 倍计算量下,性能仅略有提升。然而,使用时间路径大小为 4 的模型明显下降。使用因果时间注意力同样导致质量和总分的显著下降。向时间注意力层添加尺度-移位门(scale-shift-gate)虽然参数更多,但性能稍逊于基线。此外,移除空间遮掩会导致语义分数略微下降,但质量和总分有所提升。然而,这需要更多的计算,因为标记的长度增加了一倍。另一方面,使用时间遮掩显著降低了模型性能,VBench 质量和最终分数有较大下降。
模型初始化研究了初始化对 T2V-XL 模型性能的影响。在控制总 FLOP 设置的情况下,训练了 512² T2V 模型,并使用四种不同的路径进行初始化:从头开始、从低分辨率的 T2V-256 模型初始化、从 T2I-512 模型初始化,以及分别加载 T2V-256 和 T2I-512 模型的时间和空间权重(图 6b)。我们发现,从低分辨率的 T2V 模型和高分辨率的 T2I 模型共同初始化,可以实现更好的 VBench 指标。这种联合初始化方法与从头开始训练相比,略微提高了 FVD 值,并且在低分辨率模型已经存在的情况下,能够在实验效率和成本上带来优势。
在类似的方法下,还探索了训练更多帧(40 帧)的 T2V 模型,初始化时从较短的 T2V 模型(20 帧)开始。图 6c 显示,训练更多帧时,从低帧数模型初始化能够比直接从 T2I 模型初始化获得更好的指标。使用 RoPE 嵌入的插值方法相比于外推,能提高 VBench 分数。此外,还发现,从使用比例较低帧率(更大帧子采样步幅)训练的 T2V 模型初始化高帧数训练模型,能够改善 VBench 指标,尤其是运动平滑度和动态度。
TI2V关键设计的消融研究
为了将图像条件与文本条件结合起来, 我们将模型重新表述为 , 其中 和 分别是文本和图像条件。接下来, 研究了 TI2V 框架中的每个设计组件, 并解决了在训练高分辨率 T 12 V 模型时遇到的多任务学习和陈旧性问题。
帧替换的有效性
在 STIV-XL 模型上对 TI2V 进行了几个模型变体的消融实验,结合了以下关键组件:帧替换(FR)、交叉注意力(CA)、大投影(LP)和首帧损失(FFL)。如表 3 所示,值得注意的是,添加大映射层增强了交叉注意力传递的信息,从而提高了主题和背景一致性。然而,这种方法可能会过度限制模型,正如动态度得分的降低所示(FR + CA + LP 为 22.36,而 FR + CA 为 35.4),这表明模型可能对生成的输出施加了过度的控制。此外,虽然添加首帧损失看似有益,但它却导致了整体评分的下降,特别是在运动质量方面,表明这一损失可能无意中约束了模型的时间动态性。相比之下,仅使用帧替换已证明是一种稳健有效的方法,能够在不负面影响其他视频质量维度的情况下,持续提升模型性能。帧替换(FR)模型在 I2V 平均分(I2V 主题、I2V 背景和相机运动的平均分)和总平均分上取得了高分。这些结果强调了帧替换作为基础组件的优势,为在各个维度上保持质量提供了稳定的支撑。
图像条件丢弃的有效性
实验表明,图像条件丢弃结合 JIT-CFG 不仅支持多任务训练,还解决了 512² STIV 模型中的陈旧性问题。
多任务训练通过在 STIV 训练中使用图像条件丢弃,我们有效地实现了 T2V 和 TI2V 两种能力。如表 4 所示,仅针对 T2V 或 TI2V 任务进行训练的模型无法执行其他任务,而使用图像条件丢弃的 STIV 模型能够很好地处理这两个任务,且其性能与最好的单任务模型相当。
更强的运动表现在实际应用中,我们观察到,虽然 STIV-M-512 在 VBench-I2V 上表现良好,但有时会生成静态帧。VBench-I2V 指标倾向于偏好运动较少的视频,优先考虑视频的平滑性和一致性。如表 5 所示,结合 JIT-CFG 的 STIV 模型在动态度得分上表现更高,但以牺牲一致性和流畅度分数为代价。还展示了从图 14 到图 16 的视觉比较。
JIT-CFG 及其变体我们自然会考虑将传统的无分类器引导(CFG)扩展为一种三重加权方法,其中考虑三种条件模式:(1) 空条件:图像 和文本 条件均为空( )。(2)仅图像条件:图像条件为源图像,文本条件为空。(3)联合条件:同时提供图像和文本条件。速度估计的组合方式如下:

其中 和 分别是图像条件(CFG-I)和联合条件(CFG-T)的引导比例。称其为独立的图像和文本无分类器引导(SIT-CFG)。
使用 STIV-M-512-JIT 在 MSRVTT 测试集上进行实验,设置 在 JIT-CFG 中取得了 FVD 。同时, 对 STIV-M-512-JIT 进行了实验, 针对 和 进行了网格搜索, 搜索空间为
如图7所示,观察到:
- 固定CFG-T时,随着CFG-I的增加,FVD先减小然后增加;
- 固定CFG-I时,随着CFG-T的增加,FVD持续减小,除非CFG-I非常小(1.1或1.5),在这种情况下,FVD先减小然后增加;
- 最佳配置出现在CFG-T = 7.5和CFG-I = 1.5时,此时FVD为95.2。
然而,总体而言,SIT-CFG相比于JIT-CFG并没有显著的优势,且在推理时使用两个副本的效率明显较低。需要注意的是,这次搜索是针对MSRVTT优化的,对于其他需要更强依赖于第一帧主题的提示,可能需要更大的CFG-I值。
模型初始化
还研究了 TI2V 模型的初始化方法对性能的影响,包括从 T2I 或 T2V 开始初始化。使用相同的总步骤数来检查在 VBench-I2V 上的最终性能。从表 6 可以看出,从 T2V 模型初始化可以获得更好的相机运动得分和略微更好的动态度,且在其他维度上与从 T2I 初始化的性能相当。
视频数据引擎
数据质量对于视频生成模型至关重要。然而,由于噪声描述、幻觉和视频内容及时长的多样性有限,制作大规模高质量数据集仍然是一个挑战。为了解决这些问题,提出了一个视频数据引擎(见图 8)——一个全面的pipeline,用于改善数据集质量并减少幻觉,从而提升模型性能。
方法聚焦于三个关键问题:
- 如何预处理原始视频以提高一致性?
- 数据过滤对模型性能有何影响?
- 如何通过先进的视频描述生成减少幻觉并改善结果?
使用 Panda-70M作为工作示例,并通过我们的pipeline生成了一个整理过的子集 Panda-30M。
视频预处理与特征提取我们使用 PySceneDetect来去除突变过渡和不一致的片段,从而生成更连贯的剪辑。接着,提取关键特征(如运动和美学分数)来指导后续的过滤过程。
数据引擎与过滤有效的数据过滤对于提高数据集质量并减少幻觉至关重要。开发了一个自动化的过滤基础设施,支持高效的数据选择、质量控制和在模型开发生命周期中的持续改进。例如,可以根据预定义的分辨率/运动分数对视频进行抽样,以用于微调阶段。该过滤系统使我们能够系统地去除低质量视频,专注于提升模型性能的数据。从 Panda-30M 中,进一步基于运动分数和美学分数进行过滤,得到 Panda-10M,即 Panda-30M 的高质量版本。结果总结在表 7 中:与追求数据量不同,更高质量的视频能实现更有前景的结果。
视频描述模型高质量的视频-文本对对于训练文本到视频模型至关重要。现有的数据集常常存在噪声或无关的描述,且在描述时间动态方面有限。最初尝试了基于帧的描述生成方法,并通过大模型(LLM)进行总结,但发现单帧描述未能有效表现运动,而 LLM 总结则可能引发幻觉。为了提高描述质量并平衡成本,我们采用了 LLaVA-Hound-7B,这是一种视频大语言模型,能够生成更连贯和运动感知的描述。
描述评估与消融为了客观评估描述的准确性,引入了 DSG-Video(见图 9)模块,该模块借鉴了 DSG,通过用 LLM 生成的问题对描述进行探测,并使用多模态 LLM 验证样本视频帧中是否存在提到的物体,从而检测幻觉。该方法生成了两个指标:DSG-Videoi 和 DSG-Videos 7,分别反映了在物体级别和句子级别的幻觉。比较了两种描述生成策略——基于帧的加 LLM 总结(FCapLLM)和直接视频描述生成(VCap)——在 Panda-30M 数据集上的表现。如表 8 所示,VCap 减少了幻觉,并增加了描述物体的多样性,从而提升了 T2V 模型的表现。这些结果表明,丰富且更准确的视频描述能显著提升后续生成的质量。
结果
基于以上研究,将 T2V 和 STIV 模型的规模从 600M 扩展到 8.7B。在下面表 9 和表 10 中展示了主要结果,将我们的模型与最先进的开源和闭源模型进行了比较,证明了方法的有效性。具体而言,在预训练的视频生成模型(SFT)上进行微调,基于从 Panda-70M中筛选出的 20,000 个视频进行训练,如前面所述。由于在预训练阶段采用了 MaskDiT 技术,尝试以非遮掩方式(UnmaskSFT)对模型进行微调。还将 STIV 模型微调为时序上采样器,用于插值我们主要的 T2V 和 STIV 模型生成的视频,以提升运动平滑度(+TUP)。
T2V 性能首先展示了 T2V 模型作为 STIV 基础的有效性。表 9 展示了不同 T2V 模型变体在 VBench 上的比较,包括 VBench-质量、VBench-语义和 VBench-总分。我们的分析表明,随着模型参数的增加,T2V 模型在语义追踪能力上的表现得到了提升。具体而言,随着模型规模从 XL 到 XXL,再到 M,VBench-语义得分从 72.5 提升到 72.7,再到 74.8。这个明确的趋势(从 XL 到 XXL,再到 M)表明,较大的模型在捕捉语义信息方面更具优势。然而,对视频质量的影响较小,VBench-质量得分从 80.7 提升至 81.2,再到 82.1。这个发现表明,扩展模型对语义能力的提升影响更大,而对视频质量的提升较为有限。此外,将空间分辨率从 256 提升到 512 显著提升了 VBench-语义得分,从 74.8 提升到 77.0。详细结果请见表 11。
SFT 的影响此外,使用高质量的 SFT 数据对模型进行微调,显著提高了 VBench-质量得分,从 82.2 提升到 83.9。微调模型时不使用任何遮掩令牌略微提升了语义得分。我们的最佳模型达到了 79.5 的 VBench-语义得分,超越了 KLING、PIKA 和 Gen-3 等知名闭源模型。在使用时序上采样器后,我们的模型在所有其他模型中达到了最先进的质量得分。
TI2V 性能如前面表 10 所示,我们的模型在与最先进的方法的比较中表现出色。它还显示,虽然扩展模型规模能提高 I2V 得分,但对质量的影响有限。相比之下,增加分辨率对质量和 I2V 得分的提升更为显著。我们在表 12 中提供了各个维度的完整结果。
灵活应用
这部分展示了如何将STIV 扩展到各种应用,例如视频预测、帧插值、多视图生成和长视频生成。
视频预测从 STIV-XXL 模型初始化,训练一个基于前四帧的文本-视频到视频模型。正如下图 10a 所示,视频到视频模型(STIV-V2V)在 MSRVTT测试集和 MovieGen Bench上的 FVD 得分明显低于文本到视频模型(T2V)。这一结果表明,视频到视频模型能实现更优的表现,对于自动驾驶和xx AI 等应用中要求高保真度和一致性的生成视频帧具有前景。
帧插值提出了 STIV-TUP,一个从 STIV-XL 模型初始化的时序上采样器,并继续进行训练,基于文本条件对连续帧进行采样(步长为 2)。图 10b 显示了可以在 MSRVTT 测试集上基于文本和图像条件进行不错的帧插值。观察到,使用文本条件在 FID 和 FVD 上略优于图像条件。还将时序上采样器与我们的主要模型级联,探索它是否能提升主要性能。正如前面表 9 和表 4 所示,使用时序上采样器能提高质量表现,同时保持其他得分。
多视图生成多视图生成是一个专注于从给定图像创建新视角的专门任务。这个任务要求视角一致性,并且可以从良好预训练的视频生成模型中大大受益。通过将视频生成模型适应于多视图生成,我们可以评估预训练是否有效地捕获了隐空间的 3D 信息,从而增强多视图生成。采用了 Zero123++中规定的新视角相机定义,该定义为每个输入图像指定了六个新视角。我们的 TI2V 模型将初始帧设为给定图像,接下来六帧为预测的未来帧,表示新的视角。我们用 Objaverse数据集对 TI2V-XL 模型进行了 110k 步微调,训练时将分辨率提升至 320,与 Zero123++ 保持一致。我们的评估使用来自 Google 扫描物体数据集的对象,与地面真值渲染进行比较。如前图 10c 所示,尽管只使用时序注意力来确保跨视角的一致性,我们的方法与 Zero123++ 达到了相当的表现。这一结果验证了我们的时空注意力在保持 3D 一致性方面的有效性。和Zero123++之间的视觉比较如下图11所示
长视频生成提出了一种有效且高效的框架来生成长视频。具体而言,我们提出了一个分层框架,包括训练 STIV 模型的两种不同模式:(1)通过学习均匀采样的视频帧(步长为 20)进行关键帧预测,并进行图像条件丢弃;(2)通过学习连续视频帧,并将第一帧和最后一帧作为图像条件来生成插值帧。在采样阶段,我们变化图像和微条件,先使用第一种模式生成关键帧,然后使用第二种模式生成插值帧,从而生成长视频。在生成视频时,传统的自回归方法容易受到误差传播的影响,且缺乏全局一致性。因此,我们提出了一种简单而有效的基准,完全基于我们的 STIV 框架。正如主文中所述,我们设计了一个分层框架,训练 STIV 的两种模式,分别生成关键帧和插值帧,最终生成长视频。在图 12 中展示了一个长 T2V 和 TI2V 示例,共生成了 380 帧视频((20 −1) ×20 = 380)。
相关工作
文本到视频生成近年来,基于扩散的方法已成为文本到视频生成的主流方法,涵盖了闭源模型 [42, 44, 46] 和开源模型。一些研究[6, 7, 27]利用隐空间扩散模型(LDMs)提高训练效率。VideoLDM将时序卷积和注意力机制集成到 LDM U-Net 中,用于视频生成。最近,模型架构逐步从 U-Net 转向基于扩散Transformer的架构[21, 46, 66, 75]。CogVideoX采用了 SD3的框架,通过自注意力机制对整个 3D 视频序列进行处理,并结合文本条件。Lumina-T2X采用零初始化注意力,将噪声转换为不同模态。与以往的模型相比,重点是通过空间、时间和跨模态注意力机制,利用多种技术将基于扩散Transformer的视频生成模型扩展到超过 8B 参数,并在 VBench 上取得了良好表现,成为我们文本-图像到视频模型 STIV 开发的强大基线。
文本-图像到视频生成仅通过文本控制视频内容面临重大挑战,尤其是在实现视频与输入文本之间的对齐以及对视频生成过程的精细控制方面。为了解决这一问题,近期的方法整合了第一帧和文本,以增强视频生成的控制力[6, 24, 49, 62, 70],大多基于 U-Net 架构。I2VGen-XL基于 SDXL 并采用级联技术生成高分辨率视频。DynamiCrafter和 VideoCrafter使用跨模态注意力来结合图像条件。ConsistentI2V采用类似的帧替换策略,但还需要对初始帧进行时空注意力,并通过特殊噪声初始化来增强一致性。Animate Anything也采用帧替换技术,但需要使用运动强度损失来增强运动效果。然而,它们在 VBench-I2V 上的动态度较低,仅为 2.7%。在 DiT 架构上应用了帧替换技术,并结合我们提出的图像条件丢弃方法,JIT-CFG 可以生成高质量的 I2V 视频,同时有效解决了运动滞后的问题。
结论
总之,我们进行了全面的研究,探讨如何构建一个良好的视频生成模型,并提出了一种可扩展且灵活的方法,将文本和图像条件整合到一个统一的视频生成框架中。我们的模型不仅在公共基准测试中表现出色,还在下游应用中展现出多样性,支持可控的视频生成、视频预测、帧插值、长视频生成和多视图生成,这些都突显了它作为广泛研究基础的潜力。
...
#Formal Mathematical Reasoning
Meta、斯坦福等:AI的下一个前沿,正是陶哲轩说的形式化数学推理
对 AI 研究者来说,数学既是一类难题,也是一个标杆,能够成为衡量 AI 技术的发展重要尺度。近段时间,随着 AI 推理能力的提升,使用 AI 来证明数学问题已经成为一个重要的研究探索方向。著名数学家陶哲轩就是这一方向的推动者,他曾表示:未来数学家可以通过向类似 GPT 的 AI 解释证明,AI 会将其形式化为 Lean 证明。这种助手型 AI 不仅能生成 LaTeX 文件,还能帮助提交论文,从而大幅提高数学家的工作效率和便利性。
如今,已经诞生了 Gemini 2.0 Flash Thinking 和 o1/o3 等强大推理模型,那么用 AI 来进行形式化数学推理又已经走到了哪一步呢?
Meta FAIR 和斯坦福大学等多所机构的一篇新的立场论文(position paper)或许能为你给出这个问题的答案。
- 论文标题:Formal Mathematical Reasoning: A New Frontier in AI
- 论文地址:https://arxiv.org/pdf/2412.16075
本文一作杨凯峪在 X 上表示,AI4Math 的下一步是使用证明助手等形式化系统来实现形式化数学推理。他也在推文以及论文中感谢了陶哲轩等数学家提供的反馈。

Meta 研究科学家田渊栋也分享转发了这篇立场论文,并表示很期待看到 AI 能基于现有的互联网数据在数学阶梯上能到达何种高度。

这篇论文的内容相当丰富,将在此介绍该论文的主要内容结构,尤其是该团队对多个相关研究方向的分级策略。这些分级可以帮助我们更好地界定 AI 在形式化数学推理方面的进展。下图为该综述的目录截图。

自 AI 诞生之初,研究者就梦想着构建能够自动进行数学推理的 AI 系统。历史上,首个此类 AI 程序是 Newell 和 Simon 打造的 Logic Theorist(逻辑理论家),这个定理证明系统能够证明《数学原理》中的 38 条定理。
自那之后已过去数十年,AI 的中心已经从符号方法转移到了机器学习,并出现了一个新领域:用于数学的统计式人工智能(AI4Math)。
这是一个非常吸引人的领域。原因不难理解,很多推理和规划任务本质上都是数学问题。另外,数学在定量学科中起着基础性作用,因此 AI4Math 有可能给科学、工程和其他领域的人工智能带来革新。也正因为这些原因,LLM 开发者通常会把数学问题求解能力作为一个核心衡量指标,人们也在努力创造能在数学问题上比肩甚至超越人类的 AI 系统。
AI4Math 的重要性吸引了大量研究者,他们开始使用来自自然语言处理(NLP)领域的技术来开发数学 LLM。
一种常用方法是使用数学数据来对 LLM 进行持续预训练,比如可以使用来自 arXiv 论文和 MathOverflow 网页的数据,然后在精心选择的数学问题数据集(其中会提供详细的分步解决方案)上对模型进行微调。该团队称之为非形式化(informal)方法。
类似于通用 LLM,数学 LLM 的配方也很简单,秘诀往往在于数据的整编。在 GSM8K、MATH、AIMO Progress Prize 等常用基准上取得进展的数学 LLM 通常包含精心整编的训练数据集、思维链等推理时间技术、自我一致性和工具使用能力。
然而,直到本文写作时,非形式化方法得到的 AI 的数学能力基本都不超过 AIME 的高中数学水平。
那么,问题就来了:非形式化方法的规模扩展之路还能走多远?它能让数学 LLM 解决更具挑战性的竞赛问题(例如,IMO、国际数学奥林匹克)甚至还在研究中的数学问题吗?
从高中到更高级的数学,非形式方法面临的难题无法仅仅通过规模扩展解决。
首先,训练数学 LLM 需要高质量的数据,而高质量高等数学数据很稀缺。对于新的研究数学问题,不可能在互联网上找到类似问题的解答或大规模手动标注数据。如果没法扩大数据规模,就不可能充分享受到 LLM 的 Scaling Law。

第二,很多高等数学的解并不是数值,因此难以通过比较 ground truth 来进行评估。例如证明问题需要一系列复杂的推理步骤。
LLM 还有个臭名昭著的幻觉问题,会生成看起来可行的推理步骤,因此评估模型输出或收集有用反馈的难度非常大。
这些问题都难以通过扩大非形式化方法的规模来解决。
如果训练时间扩展不够用,那我们还需要什么呢?OpenAI o1 展示了一个可能方向:在推理时间扩展非形式化方法,比如将搜索与神经验证器组合起来缓解推理幻觉。
虽然这种方法吸引了很多人的眼球,但它究竟能不能有效解决高等数学问题还有待解答。
而本篇立场论文关注的则是一个较少被探索的补充方法:形式化数学推理(formal mathematical reasoning。
该团队表示,形式化数学推理是指立足于形式化系统的数学推理,而形式化系统包括但不限于一阶 / 高阶逻辑、依赖类型理论和带有形式规范注释的计算机程序。
这种形式化系统可提供验证模型推理并提供自动反馈的环境。它们不同于现代 LLM 使用的「工具」,因为它们可以建模广泛命题的真与假,并且还是可证明的。此类系统提供的反馈可以缓解数据稀缺问题;此外,此类系统还可以进行严格的测试时间检查,以抵抗幻觉。
相比之下,非形式化数学是指教科书、研究论文和在线数学论坛中常见的数学文本。非形式化数学会将自然语言与符号(例如 LATEX)交织在一起,但这些符号没有自我包含的形式语义,而是依靠非形式文本来传达其含义的重要部分。
AlphaProof 和 AlphaGeometry 是这一想法成功的两个突出例子。在此之前,很多研究者尝试过使用 LLM 来解决奥数级数学问题,但都失败了。上述系统的关键区别在于原则性地使用了符号表示和证明检查框架。其中,符号组件(AlphaProof 的 Lean、AlphaGeometry 的特定领域几何系统)的作用是执行神经网络的推理步骤并生成高质量的合成数据,从而实现前所未有的数学推理能力。
AlphaProof 和 AlphaGeometry 之前,已经有许多文献做好了铺垫 —— 它们探讨了形式化方法和机器学习在数学任务中的协同使用。具体涉及的主题包括神经定理证明、自动形式化(autoformalization)等。
LLM 的出现大大加速了这一领域的研究。例如,由于缺乏用于微调的已对齐非形式化 - 形式化对,自动形式化长期以来一直都进展缓慢。LLM 可以通过合成数据或执行无微调自动形式化来缓解此问题。因此,人们开始认识到自动形式化在引导神经定理证明器方面的潜力。LLM 也是定理证明的强大工具;事实上,最近已有方法利用 LLM 来预测证明步骤并修复有缺陷的证明,同时还无需基于形式化证明数据进行明确训练。
围绕 LLM 和形式化推理的研究基础设施正在迅速成熟。Lean 这种用于编写形式化证明的语言在数学家中越来越受欢迎,并催生了形式化研究数学和通用数学库。现在已有多个框架可支持 LLM 和 Lean 之间的交互。这些框架支持基于人工编写的形式化证明提取训练数据,以及通过与形式化环境的交互进行定理证明。

除了 Lean 之外,Coq 和 Isabelle 等证明语言的多语言基础设施也已在构建中 。
最后,LLM 已被用于协助人类数学家编写形式化证明 ,这可能会启动一个数据飞轮,其中不断增长的人类编写的形式化数学数据会产生更强大的 LLM,从而让人可以更轻松地创建更多数据。
AI 在形式化数学推理方面大有机会,因而研究繁盛。AI 在形式化数学推理方面的新兴机会导致了研究活动的蓬勃发展。正如最近的一项调查给出的那样,该领域的发表文献数量在 2023 年几乎翻了一番,并且很可能在 2024 年再翻一番。通过将自动形式化与强化学习相结合,AlphaProof 成为第一个在 IMO 中获得银牌的人工智能。
该领域的进展也可直接应用于形式化验证(formal verification) ,这是一个核心的计算机科学问题,传统上一直是形式化数学最重要的应用之一。虽然形式化验证可以得到极其稳健和安全的软件和硬件系统,但从历史上看,除了安全性至关重要的应用之外,形式化验证其实很少用,因为其部署成本太高。AI 可以通过自动化形式化和证明工作来大幅降低这一成本。这可能导致未来大规模生产的软件和硬件系统比现在更加稳健。
该团队表示:「出于所有这些原因,我们相信基于 AI 的形式化数学推理已经到达了一个转折点,未来几年将取得重大进展。然而,仍有大量工作要做。」
本立场论文概述了该领域在数据和算法方面面临的难题,以及未来进步的可能路线。
AI4Math 与形式化数学推理
数学推理是 AI 领域的前沿研究方向。本节首先将介绍 AI4Math 的非形式化方法及其局限性。然后将介绍在推进 AI4Math 方面,形式化数学推理是一条有希望的道路。这一节涵盖的内容包括:
当前最佳的数学 LLM 以及它们的局限性,目前的难题包括数据稀缺、缺乏验证正确性的手段。
用于形式化数学推理的 AI:这一节将介绍从非形式化到形式化的转向、证明助理和 Lean 等。

数学 AI 的其它方向:AI4Math 范围很广,还包含其它许多研究方向,比如使用神经网络来近似函数等等。
用于形式化数学推理的 AI 的最新进展
AI 已在形式数学推理方面取得了实质性进展。本节首先将讨论两个关键任务的进展:自动形式化和定理证明。然后将抽样两个相邻领域 —— 自然语言和代码生成 —— 它们可受益于形式化方法实现的可验证推理。
在自动形式化方面,本文介绍了基于规则的自动形式化、基于神经和 LLM 的自动形式化、自动形式化的应用。

在神经定理证明方面,本文介绍了专家迭代、从错误中学习、非正式证明草图、库学习、前提选择和检索等主题。

此外,这一节还介绍了自然语言中的验证推理、形式系统验证和验证生成。
挑战与未来的方向
这一节,该团队分享了几个仍待解决的挑战和有希望的研究方向,包括形式化数学推理的数据和算法、协助人类数学家和证明工程师的 AI 工具,以及集成 AI 和形式化方法来生成可验证代码。
数据
数据稀缺是首要问题。潜在的解决方案包括:
- 从教科书、论文和讲义中自动形式化非形式化数学内容
- 基于数学公理生成合成的猜想和证明
- 从不同的证明框架和代码等数据丰富的领域迁移知识
算法
在这个方面,又有许多亟待解决的问题,该团队也提出了一些解决的设想:
问题 1:如何让 AI 能够自动地将非形式化的内容转换成形式化的数学语言?
- 建立自动形式化语句的评估指标
- 将形式化过程分解为小步骤
- 加强与形式系统的交互
问题 2:如何改进数学推理的模型架构?
- 增强多步推理、长文本处理、抽象和分层规划能力
- 通过合成基准诊断推理失败之处
- 利用检索和搜索等推理技术辅助模型
问题 3:如何有效地搜索证明?
- 对搜索进行扩展以利用更多的测试时间计算;
- 对模型、搜索算法和超参数进行系统性评估;
- 用于评估证明目标并为其设定优先级的价值模型。
问题 4:如何利用定理证明中的层次结构?
- 将大型、高级证明目标逐步分解为较小的目标。
问题 5:如何学习数学抽象?
- 学习在成熟的证明助手中构建新的定义、引理和策略。
问题 6:如何利用现有的数学知识?
- 为形式数学推理量身定制的检索器;
- 处理动态增长的知识库。
问题 7:如何协调专家方法和通用方法?
- 识别跨领域联系的通用方法;
- 针对各个领域的有效性的专家方法以及与数学家合作的专家方法;
- 将通用方法和专家方法结合起来,例如为 LLM 配备特定领域的工具。
用于辅助人类数学家的工具
这方面的主要问题是:AI 如何更好地协助人类研究形式化数学?
这个方面的难题和潜在研究方向包括:
- 资源、激励措施和工程开发,以提高可用性和用户友好性;
- 研究数学家如何使用形式化工具的行为;
- 支持大规模分布式协作的工具。
形式验证和已验证生成
这方面的主要问题是:AI 如何辅助人类开发正确和安全的软件?
这个方面的难题和潜在研究方向包括:
- 将形式化方法纳入 AI 辅助的系统设计和实现中;
- 增强 AI 进行形式化软件和硬件验证的能力;
- 将基于 AI 的生成与形式化验证结合起来。
评估标准
在解决问题的过程中,一个关键问题逐渐浮现:如何有效衡量进展?
受自动驾驶汽车自动化等级的启发,该团队提出了一个评估 AI 数学推理能力的分级框架。他们强调,在这个新兴领域还需要建立更多新的基准和评估方法。
定理证明能力
目前,AI 在形式数学领域的主要工作集中在自动定理证明上。像 Lean 这样的形式系统提供了巨大优势 - 一旦找到证明,即使人可能没完全理解,就能保证其正确性。
研究团队根据表 1 给出了 AI 形式定理证明的分级基准。

在最基础的 0 级水平,AI 能够识别正确的形式证明。
到了 1 级,AI 系统可以提供潜在有用的数据,但还不能写出证明。
2 级及以上的系统可以生成完整或部分证明。人类专家设计和编写的固定证明策略和规则,AI 按照这些预设的策略执行证明过程。
在 3 级水平,AI 系统能够在一般领域自动证明定理,但仍局限于简单定理。
4 级系统应该能够自主规划和执行形式化项目,分解大型结果,提出新的定义和定理,并在探索的过程中尝试不同的解决方案。
5 级则意味着系统能够解决超出人类水平的问题。
自然语言推理验证能力
研究团队首先提出了一个问题:如何在不完全形式化的情况下实现严谨的推理?
他们发现,让 AI 在形式系统和自然语言之间切换是一个很有前景的方向。这样的 AI 系统应该能够进行逻辑推理、数值计算,并以严谨且易懂的方式生成答案。
虽然推理过程可能不是严格的形式化证明,但其中的部分内容仍可以在人工的监督下以半自动化的形式验证。该团队将这种能力称为「自然语言验证推理」,并提出了一个分级框架 (表 2)。

在 0 级水平,AI 能够用自然语言生成逐步推理过程,但不涉及验证。
到了 1 级,AI 系统在生成推理的同时具备了验证能力,可以评估每个推理步骤的正确性。
在 2 级,AI 系统能够利用外部工具,执行单靠神经网络难以学会的计算任务。
第 3 级的 AI 系统将可以使用外部工具进行严格的逻辑推理。
在第 4 级,AI 系统能够识别日常任务中的数学问题并使用严谨的方法。对其进行推理
自动形式化的能力
该团队提出了一个自动形式化能力评估体系,评估 AI 如何在数学知识的非形式化表述和形式化表述之间自动转换。

根据表 3,在最基础的 0 级水平,AI 系统能够存储和检验形式化知识,方便人工形式化。
在第 1 级,AI 将可以为自动生成形式化的几种草稿,并通过持续收集和存储人类反馈来不断改进系统性能。
到了第 2 级,AI 应能够在两者之间进行稳定且准确的转换,准确度接近人类水平。
第 3 级的 AI 系统能够在形式化的过程中推断出缺失饿信息,并标记出它无法补全的部分。
在第 4 级,AI 将具备遇到错误或对不上的输入时自我纠正的能力。
最后在第 5 级,该团队预计 AI 将能够创造新的数学定义,有望降低证明的复杂度。
猜想能力
研究团队发现,在数学研究中,提出定理证明之前的猜想阶段同样重要。该团队认为,AI 有望自主提出数学猜想。
根据表 4 的分级标准,0 级水平是指 AI 能够针对特定问题或目标结果提出相关猜想。更进一步,在 1 级水平上,AI 就预计可以在给定研究领域内自主提出猜想,而不必局限于某个具体定理了。

形式化验证与验证生成的结果
研究团队最新发现,把 AI 应用到程序验证和系统开发时,面临的挑战与数学研究有很大不同。为了更好地理解这个领域,该团队设计了一个 4 级能力评估体系 (表 5)。

在最基础的第 1 级,AI 已经能够完成一些简单的验证工作,比如检查小段代码是否正确,或者自动生成一些简单的可验证代码。
到了第 2 级,AI 的能力提升到可以帮助开发团队验证整个项目,并且能处理更复杂的问题。
第 3 级是一个重要突破,AI 不仅能生成代码,还能提供证明并帮助维护系统。
在最高的第 4 级,AI 可以帮助开发人员制定技术规范,包括自动生成规范文档、解释具体要求,以及帮助找出规范中的问题。
...
#o3智商高达157?
每13333人中才有一个这么高,网友:编码分数无意义
从韦氏智商测试来看,如果 o3 的 IQ 真这么高,则称得上非常优秀。
OpenAI o3 的智商(IQ)竟然已经这么高了吗
今天,Reddit 上一则热帖宣称「OpenAI o3 的 IQ 估计为 157」,并放出了一张数据图。

这意味着什么呢?人类中的 0.0075% 才能达到这个智商水平。更具体地说,每 13,333 个人中才出来一个这么高智商的。
对比之下,GPT-4o 的 IQ 为 115、o1 preview 为 123、o1 为 135、o1 pro 为 139、o3 mini 为 141。

同样更具体地讲,GPT-4o 每 6 人中有一个、o1 preview 是每 16 人、o1 是每 93 人、o1 pro 是每 200 人、o3 mini 是每 333 人。

这些 IQ 是如何计算出来的呢?疑似原作者表示,他根据 Codeforces 编码评级来粗略地估计 IQ,并假设报名时竞争程序员排名前 15%,最后得出 GPT-4o、o1 preview、o1、o1 pro、o3 mini 和 o3 的 IQ 以及在人类中的排名。

图源:X@i_dg23
此前还有人整理了 GPT-4o 与 o1 preview、o1、o3 在 2024 年 AIME 数学竞赛题目测试(AIME 2024)中的结果,从 13.4 到如今的 96.7,七个月的时间,数学能力实现了飞跃式提升。

图源:X@zbgoodwin
仅从以上数据来看,AI 大模型的进步速度着实令人震惊。不过,毕竟开局一张图,o3 的 IQ 真的如表格中那么高吗?
有人找到了「Tracking AI」中 o1 在挪威门萨智商测试(Mensa Norway)IQ 测试中的结果(为 133,与上面表格中估计的 135 相差不大),一定程度上验证了 o3 估计智商的可靠性。

图源:X@facundo_fagalde

图源:https://www.trackingai.org/home
因此,未来等 o3 正式发布以后,它的挪威门萨智商测试结果将更加值得期待。

图源:X@AILeaksAndNews
o3 IQ 如此之高,瞬间引爆了大家伙的评论热情。
网友热评
有网友直呼:「这张图是我见过最愚蠢的东西之一,这些数据根本不能代表智商。他们用编码表现的 z 分数代表智商。但编码不是智商测试,尤其是对于参加编码测试的 LLM 来说,它们对所有在互联网上分享的代码具有完美的数字记忆。o3 甚至无法解答我 6 岁和 8 岁的孩子可以解答的问题。」

也就是说,如果 LLM 针对编码测试进行训练,那么用编码表现分数代表智商是毫无意义的。
但另一位网友表示:「并非如此,这是一种基于相关性的『转换』,但首先相关性有点弱,其次它转化为机器智能的效果尚不明确,即人工智能模型可能擅长编码,但在其他领域却不行。」

网友指出:「IQ 本身就是用来评估人类的指标。它评估与智力相关的特定技能,并理所当然地认为人类应该拥有许多其他特征。而这张图通过考虑人工智能可以擅长的单一指标来假设广义智能,他们甚至没有使用智商测试来得出这个结论,而是根据与智商相关的指标来推断。」

总的来说,人们对于所谓的「o3 智商高达 157」并不认可。或许,这又是一场炒作吧。

参考链接:https://www.reddit.com/r/singularity/comments/1hkxmi6/o3s_estimated_iq_is_157/
...
#照片+音频让蒙娜丽莎秒变播客主理人
字节整新活!
本文作者来自字节跳动智能创作数字人团队,介绍了名为「INFP」的交互式人像生成技术。利用该技术生成的智能体能像真人一样在多轮对话中实现自由的听说行为以及无缝的状态切换。
在大语言模型和 AIGC 的热潮下,科研人员对构建「视觉对话智能体」(Visual Chat Agent)展现出极大兴趣。其中,可实时交互的人像生成技术(Audio-Driven Real-Time Interactive Head Generation)是实现链路中极为关键的一环。它确保了在与用户的多轮对话过程中,智能体形象能够像真人一样提供自然、逼真的行为和视觉反馈,令用户获得沉浸式的交互体验。
,时长00:24
,时长00:26
之前的人像生成 / 驱动技术大多面向的是对话场景中的「单一方向交互」,如:说话人像生成(Talking Head Generation)或倾听人像生成(Listening Head Generation),因此无法直接应用于智能体的构建。近期陆续有一些工作开始关注研究交互式的人像生成,但它们都需要显式地指定「说话」或「倾听」的状态,且无法像真人一样在多轮对话中实现自由的听说行为以及无缝的状态切换。
近日,字节跳动提出了一套面向二元对话场景的交互式人像生成技术 INFP,该方案仅需输入一段双轨对话音频(分别来自智能体本身和对话伙伴的说话内容),即可实时驱动单张肖像照片生成相应的对话视频,且能够在多轮对话中生成自然的人物行为和反馈,例如表情、眼神、口型、姿态变化以及流畅的说话 - 倾听状态切换。
- 论文链接:https://arxiv.org/pdf/2412.04037
- 项目网页:https://grisoon.github.io/INFP
技术方案

INFP 包含 2 个阶段:
1. Motion-Based Head Imitation:在第一阶段,模型从大量对话视频中学习如何提取对话时的交互和运动行为,包括非语言动作(non-verbal motion)和语言动作(verbal motion),并将其映射到运动隐空间(motion latent space)。映射后的运动编码(motion latent code)可以用来驱动肖像照片,生成相应的视频。一个好的运动隐空间应该具备高度的解耦性,即头部姿势、面部表情和情绪应该与外观完全解耦。为此,文章提出对输入图像进行面部结构离散化和面部像素遮罩处理。
2. Audio-Guided Motion Generation:在第二阶段,模型将双轨对话音频输入映射到第一阶段预训练的运动隐空间,以获得相应的运动潜码。该部分由一个交互运动引导模型(Interactive Motion Guider)和一个条件扩散模型(Conditional Ddiffusion Transformer)组成。前者将来自智能体及其对话伙伴的音频作为输入,从可学习的记忆库(Learnable Memory Bank)中检索语言和非语言动作,以构建交互式动作特征。后者利用交互式运动特征作为条件,与其他信号一起通过去噪生成运动潜码。
实验结果
在实验章节中,文中从多个方面详细对比了 INFP 和其它市面上 SOTA 方案,以此来证明该方法的有效性。

此外,文中页分别对比了 INFP 和 Talking Head Generation 以及 Listening Head Generation 方法,以此证明该方法在「单一交互」场景中的生成效果依然可以做到 SOTA。


效果展示
动作多样性效果展示
,时长00:12
,时长00:13
,时长00:15
非真人效果展示
,时长00:18
,时长00:14
即时交互 demo 效果展示
,时长00:24
,时长00:17
安全说明
此工作仅以学术研究为目的,会严格限制模型的对外开放和使用权限,防止未经授权的恶意利用。
团队介绍
字节跳动智能创作数字人团队,智能创作是字节跳动 AI & 多媒体技术团队,覆盖了计算机视觉、音视频编辑、特效处理等技术领域,借助公司丰富的业务场景、基础设施资源和技术协作氛围,实现了前沿算法 - 工程系统 - 产品全链路的闭环,旨在以多种形式为公司内部各业务提供业界前沿的内容理解、内容创作、互动体验与消费的能力和行业解决方案。其中数字人方向专注于建设行业领先的数字人生成和驱动技术,丰富智能创作内容生态。
目前,智能创作团队已通过字节跳动旗下的云服务平台火山引擎向企业开放技术能力和服务。更多大模型算法相关岗位开放中。
...
#PC Agent
突破数据瓶颈!交大研发电脑智能体,让 AI 替你熬夜做 PPT
本文共同第一作者为上海交通大学 ACM 班的三年级本科生何彦衡,金嘉禾,两人均为 GAIR 实验室成员,指导老师为刘鹏飞副教授。上海交通大学生成式人工智能实验室 (GAIR Lab)的主要研究方向为:大模型的复杂推理,大模型预训练中的数据工程,多模态大模型,以及智能体。实验室主页:https://plms.ai/
想象这样一个场景:深夜 11 点,你已经忙碌了一天,正准备休息,却想起明天早上还得分享一篇经典论文《Attention Is All You Need》,需要准备幻灯片。这时,你突然想到了自己的 AI 助手 —— PC Agent。你告诉它演讲的要点以及 PPT 要保存的地方,然后就安心睡去。第二天醒来,一份内容完备、制作精美的 PPT 已经在电脑中准备妥当。
这个听起来如同科幻的场景,已经被上海交通大学 GAIR 实验室的研究者们变成了现实!他们提出认知迁移的方法,通过高效收集人类认知轨迹,打造(训练,非 API 调用)了能够像人类一样阅读电脑屏幕,精准操控键盘鼠标,执行长达数十步、跨软件的复杂生产任务的 PC Agent,标志着 AI 真正为人类减负的重要一步!
,时长02:03
Sam Altman 说,比起让智能体「订一家餐厅」,真正有趣的是让它「咨询 300 家餐厅」来找到最符合的口味。这样大量重复性的工作,对 PC Agent 而言也不在话下。比如,它可以一口气为多位图灵奖得主分别制作海报:
,时长01:09

此外,PC Agent 也能轻松对标类似 Claude 3.5 Sonnet 的演示任务 —— 展现 “AI 调用 AI” 完成工作的巧妙设计。视频展示了它如何为自己创造一个网站:
,时长00:41
- 论文标题:PC Agent: While You Sleep, AI Works - A Cognitive Journey into Digital World
- 论文地址:https://arxiv.org/pdf/2412.17589
- 代码地址:https://github.com/GAIR-NLP/PC-Agent
我们需要真正能为人类减负的智能体
数字智能体的革命性时刻
近期,Claude 3.5 Sonnet 的升级吸引了整个领域的目光。与 Siri 等依赖后端 API 调用的传统智能助手不同,它能根据用户指令,像人一样操控电脑,解读计算机屏幕,执行键盘鼠标操作。这种拟人的 GUI 前端交互模式具有高度通用性,赋予 AI 几乎无限的可能。

两年以来,随着大语言模型的突破性进展,AI 已经实现了一个又一个里程碑,但依然局限于对话窗口,而无法迈入真实世界工作。我们需要让智能体切实减轻人类的负担,迈向 OpenAI 通往 AGI 五级目标中的第三级。

关键性挑战
然而,当下智能体的电脑使用能力依然远逊色于人类,并未达到真正能为人类减负的水平,对开源社区来说更是如此。团队指出了两个关键的技术挑战:深度的电脑理解认知与精准的视觉定位能力。
1. 视觉定位:GUI 交互的基础
为了像人类一样使用电脑,智能体需要能为鼠标操作输出精确的坐标,视觉定位 —— 即精准定位元素(如 “最小化” 按钮)位置的能力,成为了 GUI 交互的基础。
然而,目前绝大多数的视觉语言模型,包括最先进的 GPT-4o,仍缺乏这一基本能力。近期有些研究试图通过在大规模 GUI 视觉定位数据集上微调模型来解决此问题,但这种办法往往牺牲了模型的通用能力。
2. 认知理解:胜任复杂任务的关键
即使具备了基础的视觉定位能力,当前模型依然无法胜任真正复杂的任务。团队认为,关键在于模型缺乏对电脑使用的认知理解。这体现在两个方面:
・缺乏细粒度的电脑操作知识
例如,为了在 PowerPoint 中添加标题,需要先点击文本框再输入。这对人类来讲非常直观,却能难倒目前的智能体。细粒度电脑操作知识的缺乏要求我们从人类认知的角度补充训练数据,因为 GUI 是为人类而设计的。
・缺乏智能体导向的训练
现有大语言模型展现出强大的能力,但未能完美胜任智能体工作流的需求,包括在长过程中充分关注上下文,根据变化的环境做出决策,并根据反馈调整策略。虽然提示工程可以在一定程度上弥补这一差距,但实现真正强大的智能体还需要专门的训练。
认知迁移 (Congition Transfer)
AI 从对话窗口到数字世界的关键道路
面对认知理解的挑战,团队提出人类认知迁移的方法,包括首个高效采集大规模人机交互数据的轻量级工具和从原始交互数据重建背后人类认知的完整流水线。通过开源相关代码,团队希望加速整个社区对数字智能体的研究进展。
具体来说,他们 1)首先采集人类使用电脑的原始操作轨迹,2)然后使用大模型重建无法被采集的人类认知 ,最终得到包含人类认知的交互轨迹(Cognitive trajectory)。通过模仿学习人类认知轨迹,AI 不仅能够模仿具体的动作,还能学习动作背后人类对电脑使用的认知理解。
初步实验表明,仅在 133 条认知轨迹数据上训练,PC Agent 就能够学会执行高达 50 步的复杂任务,极大证明了人类认知迁移方法的高效性。

一、首个高效采集大规模人机交互数据的轻量级工具
团队破解了一个阻碍智能体发展的关键瓶颈:训练数据的稀缺。他们开发了首个高效采集人机交互数据的轻量级工具 —— PC Tracker,旨在通过大规模收集真实人类动作轨迹来应对这一数据挑战。
类似于屏幕录制,PC Tracker 在后台运行,通过监控键盘和鼠标的活动来记录用户动作,同时捕捉屏幕截图以记录状态观察。
下面是 PC Tracker 采集的轨迹的示例:在桌面上创建一个标题为 “Hello,world” 的幻灯片。

具体而言,PC Tracker 具备以下关键特性:

1. 轻量级数据采集
不同于冗余的录屏方案,PC Tracker 仅捕捉关键事件 —— 仅当用户动作发生时,才会触发记录,从而减小存储开销。
2. 无损用户体验
PC Tracker 在后台运行,在持续记录的同时不会影响用户体验。软件不会记录可访问树,因为爬取过程会引入明显的延迟,干扰用户操作。而且随着视觉语言模型的发展,团队认为可访问树信息对未来模型不再必要。
3. 大规模数据采集
轻量级采集与无损用户体验的设计确保了大规模长期部署的可行性,使得 PC Tracker 支持无限规模的人机交互数据收集。团队统计表明,一小时的电脑使用即可产生约 2000 个事件,展现出巨大的数据潜力。
4. 统一动作空间
PC Tracker 支持一个为 AI 设计的统一动作空间,人类原始的离散键鼠操作会被合并封装成如双击、输入(type)等更具语义信息的动作。
5. 双采集模式
PC Tracker 支持任务(task oriented)和无任务 (non-task oriented) 两种采集模式。无任务模式记录用户自由的交互轨迹,非常适合长期、大规模的数据收集;而任务模式记录用户完成特定任务的交互轨迹,主要用于监督微调的数据标注。
6. 数据透明与隐私
所有记录数据均在用户本地存储并提供 Markdown 可视化文件,用户也可以在采集过程中方便控制记录的终止以及数据的丢弃,以确保隐私。
二、从原始交互数据重建认知轨迹
人类行为是大脑认知活动的外在投射。在使用电脑时,我们的脑中经历了自然的认知活动过程,包括对历史进展和当前状态的分析,作出下一步决策的推理等。这一思考过程蕴含了人类对电脑使用的认知,但大脑活动无法被直接记录。为此,团队利用大模型分两阶段对轨迹数据进行认知重建:
1. 动作语义重建
原始点击动作仅包括数值坐标位置,与其他动作(如键盘输入)相比缺乏直接的语义信息,因此首先进行的处理是点击动作的语义信息重建。具体而言,这一步为点击的目标生成了自然语言描述,如下图所示为点击位置 (717, 387) 生成描述 “TripAdvisor 网站上方中部的搜索框”。

2. 思考过程重建
利用轨迹数据中的上下文信息和补全的动作语义,团队迭代提示大模型生成每步动作背后的思考过程。如图所示,人类动作 “点击 TripAdvisor 网站上方中部的搜索框” 背后的思考过程被成功重建:“我想要找埃菲尔铁塔的高分餐厅,虽然已经查看了关于 “埃菲尔铁塔餐厅” 的信息,但需要扩大搜索范围。通过点击搜索框,我可以输入一个更广泛的查询......”
三、构建能够完成复杂任务的数字智能体
基于对当前智能体面临的主要挑战(视觉定位与认知理解)的深刻理解,团队分别提出解决方案,打造了一个能够完成真正复杂任务的 PC Agent:
1. 以认知轨迹训练规划智能体
使用 PC Tracker 采集并重建认知后得到的认知轨迹,是训练智能体的高质量数据。团队选择了 PPT 制作(包括上网收集资源)这一综合任务作为初步实验场景,仅在 133 条认知轨迹上训练以验证其数据效率。这些轨迹分为自由(使用 Chrome 和 PowerPoint)任务与 PPT 制作任务两类,动作数量明显高于现有公开轨迹数据,如下图所示。

2. 通过自我验证实现精准视觉定位
团队发现,Ai2 近期发布的开源通用视觉语言模型 Molmo,通过引入创新的指令微调数据 Pixmo,展现了良好的视觉定位能力。因此,团队将其作为视觉定位智能体的基础模型。然而,Molmo 仍会偶尔出现定位偏差,而操作电脑时微小的点击错位也可能导致灾难性后果,如不慎关闭浏览器 —— 当前的智能体很难从这些错误中恢复。
团队提出了一种创新方法,进一步增强其视觉定位能力,几乎能达到人类的完美水平:Molmo 可以借助来自系统接口的外部反馈,自我验证其视觉定位的准确性。如下图所示,定位智能体会先根据点击目标描述生成一个初步的坐标,然后从系统接口中获取该坐标对应的元素信息,判断是否与目标描述匹配。如不匹配,定位过程将重新进行。

3. 多智能体协作
在 PC Agent 的初步实现中,为了更好的利用现有模型的能力,团队采用了一个多智能体架构。其中,规划智能体负责动作决策,视觉定位智能体负责点击动作执行。值得指出的是,此系统完全基于开源模型构建。
具体来说,两个智能体如此协作:规划智能体首先分析任务并观察状态,以作出动作决策。非点击相关动作将被直接执行,而对于点击相关动作,规划智能体生成的点击目标描述将被转发给视觉定位智能体,由其生成具体坐标。如果它发现目标在屏幕上不存在,将提示规划智能体重新决策。具体的动作执行将调用 pyautogui 函数完成。下图为一个协作的示例。

结论与展望
团队提出了一种创新的认知迁移框架,包括首个高效采集人机交互数据的工具 PC Tracker 和完整的认知重建过程,并初步验证了方法的高效性。PC Agent 在 PPT 制作场景下展示了执行复杂长程任务的能力,标志 AI 真正为人类减负迈出的重要一步。
展望未来,团队确定了几个重要的研究方向:
1. 大规模泛化实验:尽管已在有限的训练数据下初步实验,但泛化能力的验证仍需跨软件和跨任务的更大规模实验。
2. 长程规划与鲁棒性:OpenAI o1 所展现的推理与自我纠错能力,为在长序列中实现鲁棒操作提供了有力支撑。在面对复杂任务时,如何保持行动与目标的一致性,以及如何建立更加完善的纠错机制,仍是亟待深入讨论的问题。
3. 无任务数据的利用:PC Tracker 可以在不限制特定任务的情况下提供近乎无限规模的自然人机交互数据,这些数据包含了丰富的人类一般操作策略与行为偏好信息,可应用于预训练、监督微调和强化学习等多个场景。探索有效的方法来利用这些数据是重要而有前景的方向。
4. 动作空间优化:针对拖拽等复杂鼠标操作的特殊挑战,需要开发更精确的空间关系理解机制,并优化数据收集策略。
5. 复杂任务的评估:当前对数字智能体的评估基准主要关注基础任务的成功率。然而,对于像 PPT 制作这样的真实世界复杂任务,我们需要更加全面的评估框架,不仅关注任务成功率,还要考虑完成质量、专业性等多维度指标。
...
#[vLLM vs TensorRT-LLM] #5 动态序列长度场景对比
本文探讨了在动态序列长度场景下,vLLM和TensorRT-LLM两种大型语言模型(LLM)推理系统的性能对比。
翻译 from https://medium.com/squeezebits-team-blog/vllm-vs-tensorrt-llm-5-dynamic-sequence-lengths-731c26ee0039
近年来,越来越多的服务基于 LLM(Large Language Model,大型语言模型)推理系统持续涌现。在实际应用中,请求的长度差异显著,每种请求都需在不同的约束条件下运行。[上一篇文章]( [vLLM vs TensorRT-LLM] #4 系统调度schedule比较)中,我们探讨了 vLLM 和 TensorRT-LLM 中的调度器如何影响推理性能。为了明确评估特定推理参数的影响,我们故意采用固定长度的数据集进行控制实验。在该实验中,输入和输出的长度固定,并忽略终止序列标记(EOS token),使得生成可以按照请求的最大输出长度进行预测,从而为评估基本性能因素提供了清晰的基准。
现在,我们转向动态长度数据集,研究调度器在复杂工作负载下的表现。在这种情况下,输入长度会变化,生成过程通常在达到最大输出长度之前停止。这种动态性会影响性能指标(如吞吐量和 TPOT),因为动态输入请求会导致资源利用率波动。本文旨在揭示动态序列长度如何影响调度器在应对波动需求时的有效性,并优化 LLM 推理。
Dynamic-Sonnet 数据集
虽然现有的测试 LLM 的数据集众多,但我们希望选用能够准确评估推理框架性能影响的合适数据集。因此,我们设计了一个新的数据集——Dynamic-Sonnet,用于更好地评估动态性带来的影响。
传统的固定长度数据集便于实验控制和分析,但无法反映可变序列长度带来的影响。而动态长度数据集虽然表现出显著的多样性,却因其结果分析难度较高而增加挑战。我们的目标是结合两者的优势,创建一个动态但分布受控的数据集。为更好地模拟输入和输出的动态行为,我们参考了 ray-project/llmval 的基准测试方法,创建了 Dynamic-Sonnet 数据集。
Dynamic-Sonnet 包含四个子集:1K、2K、4K 和 8K。每个子集设计了不同的 token 长度,以真实反映实际使用场景。每个提示要求从一系列莎士比亚十四行诗中随机选择尽可能多的诗句。每次请求包含的诗句数量是随机的,其目标是达到每个子集的设定均值,遵循正态分布。
示例数据
Example data
Pick as many lines as you can from these poem lines:n
FROM fairest creatures we desire increase,n
That thereby beauty’s rose might never die,n
But as the riper should by time decease,n
His tender heir might bear his memory:n …

图 1:Dynamic-Sonnet 数据集各子集的 token 长度分布|700x423

表 1:Dynamic-Sonnet 数据集各子集的 token 长度分布|700x242
图 1 和表 1 展示了 Dynamic-Sonnet 数据集中各子集的 token 长度分布。每个 NK 子集设计的最大提示长度不超过 NK tokens。例如,1K 子集的平均提示长度约为 512 tokens,最大长度为 773 tokens;而 8K 子集的平均提示长度为 7,153 tokens,最大长度为 7,709 tokens。这样的设计能够深入测试 LLM 推理系统,挑战每个框架(或调度器)在动态工作负载中的处理能力,因为 token 长度的不可预测性会带来更大的挑战。
实验设置
我们保持了与之前文章大部分实验一致的设置,但在此基础上将 TensorRT-LLM 中使用的 C++ API 替换为 Triton Server。服务器-客户端的配置遵循 vLLM 和 TensorRT-LLM 的 OpenAI API 接口。
框架版本、模型和硬件
• vLLM: 0.6.3.post1
• TensorRT-LLM: v0.13.0 版本 / Triton Server: v2.50.0
• 模型: Llama-3.1–8B-Instruct(BF16)
• 硬件: NVIDIA A100-PCIe 80G GPU,AMD EPYC 7643 48 核处理器,128 GB RAM
数据集
• 动态: *dynamic_sonnet_llama3*[1] 1K、2K、4K、8K
• 固定: 随机 token,输入和输出长度固定,与动态数据集的 1K、2K、4K、8K 子集的平均长度对应
需要注意的是,固定数据集的输入长度并不严格等于 1K、2K、4K 和 8K,而是设定为与动态数据集的平均长度相匹配。这种方法在两种数据集间平衡了计算负载,确保了公平的对比。
配置
• 最大批量大小:256
• 最大 token 数量:16384
• 请求速率:无限
实验结果实验 #1:动态序列长度的影响我们在相同环境下比较了固定和动态数据集(例如 Dynamic-Sonnet 1K 和 Fixed 1K 数据集)对性能的影响。固定数据集的输出长度被设为动态数据集的平均输出长度,因此生成的总 token 数几乎相同。
固定数据集为调度器提供了稳定的环境,变动性较小,便于预测资源分配并实现一致的性能。而动态数据集需要调度器持续调整批量大小和 token 数量,显著影响硬件利用率。此实验突出了调度器在面对 token 长度变化时保持一致性能的重要性——这是优化 LLM 推理的一大挑战。

图 2:固定和动态基准测试中不同框架的吞吐量比较|700x355
图 2 展示了 vLLM 和 TensorRT-LLM 在固定和动态数据集上的吞吐量比较。对于较短的序列(如 1K 或 2K),固定数据集的吞吐量显著高于动态数据集。这种差异源于 vLLM 和 TensorRT-LLM 中不同的调度机制。
在 TensorRT-LLM 中,默认使用的 GUARANTEED_NO_EVICT 策略会根据最大输出长度为每个请求预分配 KV 缓存的内存。动态数据集中,KV 缓存基于可能的最大长度进行分配,这通常会导致内存浪费,因为实际所需的内存远小于分配的内存量。
而固定数据集的输出长度是可预测的,可以精确分配所需的 KV 缓存内存。在本实验中,固定数据集的输出长度被设定为动态数据集的平均输出长度,因此 KV 缓存内存需求较低,支持更大的运行批量大小。这一趋势在图 3 中进一步得到体现。
对于较长的序列(如 4K 和 8K),固定和动态数据集之间的吞吐量差异变得微乎其微。这是因为在这些场景下,提示长度开始对性能产生主导作用。虽然 GUARANTEED_NO_EVICT 策略基于最大输出长度分配 KV 缓存,但提示的 KV 缓存大小在固定和动态数据集之间是相似的,因此浪费的内存开销变得可以忽略不计。结果是固定和动态基准测试的活动批量大小趋于一致,从而实现相似的吞吐量。

图 3:固定和动态基准测试中不同框架的平均运行批量大小比较|700x352
图 3 展示了固定和动态数据集中不同框架的平均运行批量大小。对于 vLLM,填充的柱状条代表解码迭代的平均运行批量大小,图案化的柱状条代表包括预填充迭代在内的所有迭代的平均运行批量大小。
vLLM 的调度策略类似于 TensorRT-LLM 的 MAX_UTILIZATION 策略(将在下一部分讨论)。因此,性能提升来自不同的因素。与 TensorRT-LLM 不同,vLLM 默认不支持混合批处理(除非使用 Chunked prefill),因此预填充和解码请求分别批处理。
在固定长度生成中,解码批量大小通常保持最大化,因为所有请求的迭代次数相同。然而,在动态数据集中,生成终止标记(EOS token)的请求会提前结束,导致剩余请求的解码批量大小减少。
同样,在动态数据集中,预填充批量大小(或针对被抢占请求的重新计算批量)会有所变化,相较于固定数据集,在更多的迭代中预填充批量较小。如图 3 所示,当考虑所有迭代的平均批量大小(包括预填充迭代)时,这种批量大小的减少更加明显。总体而言,TensorRT-LLM 在动态场景中的表现比 vLLM 更具弹性,因为它原生支持混合批处理。

图 4:固定和动态基准测试中不同框架的 TPOT 比较|700x354
Figure 4. TPOT comparison of Fixed and Dynamic benchmarks in each framework
图 4 展示了 TPOT 的趋势,揭示了一些值得注意的现象。正如之前的文章所讨论的,TPOT 通常与平均批量大小相关,因此可以预期随着序列长度的增长,TPOT 会下降,因为平均批量大小通常会缩小。
然而我们观察到 TPOT 随着输入序列长度的增长反而增加。这是因为较长的输入序列导致更大的 KV 缓存大小,从而增加了内存开销和注意力计算。减少的批量大小和增加的序列长度共同作用,导致了上述趋势。
另一个有趣的现象是,固定数据集的 TPOT 低于动态数据集。这可以归因于 vLLM 不支持混合批处理。在固定数据集中,所有请求的长度相同,使得预填充和解码迭代之间分离明确。然而,在动态数据集中,一些请求在同一解码批量中比其他请求更早结束生成。这为预填充调度提供了额外的时间预算,从而增加了其他等待批次的预填充迭代可能性。这种额外的预填充可能会降低动态数据集的平均 TPOT。
实验 #2:调度策略的影响
在第二个实验中,我们使用动态数据集评估了 TensorRT-LLM 的两种调度器策略(GUARANTEED_NO_EVICT 和 MAX_UTILIZATION)的性能。GUARANTEED_NO_EVICT 策略会为每个请求预分配 KV 缓存内存,确保已调度的请求在内存约束下不会被抢占。而 MAX_UTILIZATION 策略在输出生成期间按需分配 KV 缓存内存,每次迭代尽可能打包更多的请求,但在内存不足时可能会抢占部分请求。这种差异在动态输入中尤为显著,因为实际输出长度通常短于最大输出长度。
为了展示这一点,我们使用了 Dynamic-Sonnet 的 4K 子集,将最大输出长度从 1K 调整到 4K。此外,我们将 token ID 13(句号“.”的 token ID)设置为 EOS token,以尽早终止生成,从而进一步扩大最大输出长度与实际输出长度之间的差距。

图 5:GUARANTEED_NO_EVICT 和 MAX_UTILIZATION 的吞吐量与批量大小比较|700x390
图 5 展示了不同策略的吞吐量和平均运行批量大小。当最大输出长度为 1K 时,GUARANTEED_NO_EVICT 的吞吐量略高。此时,两种策略的平均批量大小相似,因为 GUARANTEED_NO_EVICT 分配的 KV 缓存能够支持请求直到生成提前终止。此外,MAX_UTILIZATION 可能因其复杂的调度功能(如非连续的 KV 缓存分配)带来额外的延迟开销,因此吞吐量略低于更简单的 GUARANTEED_NO_EVICT 策略。
然而,随着最大输出长度的增加,MAX_UTILIZATION 的吞吐量超过了 GUARANTEED_NO_EVICT,且性能差距不断扩大。这个趋势同样反映在平均运行批量大小上,MAX_UTILIZATION 在所有情况下的批量大小都更大。通过减少 KV 缓存内存使用,MAX_UTILIZATION 为更多请求批量处理释放了空间。总体而言,MAX_UTILIZATION 在动态场景中提供了更高的吞吐量,但需要谨慎应用,因为过度抢占可能在某些情况下降低吞吐量。
最终总结
本文比较了动态场景下的性能指标,并将其与固定场景的结果进行了对比。总体而言,我们观察到动态环境中性能下降,其中非确定性输出对性能的影响大于输入的动态性。这表明,要正确反映真实世界的推理环境,需要通过动态请求衡量性能。
|
对比框架 |
TensorRT-LLM |
vLLM |
|
调度策略 |
- GUARANTEED_NO_EVICT:内存预分配,简单稳定,在短输出长度场景中效率更高。- MAX_UTILIZATION:按需分配内存,批量利用率更高,在长输出长度场景中表现优越,但抢占可能增加延迟。- 总体而言,MAX_UTILIZATION 在动态环境下吞吐量更高,但需平衡抢占开销。 |
默认不支持混合批处理,预填充和解码请求分开处理。动态场景中批量大小减少,性能表现较差,尤其是在请求间存在长度差异时。 |
|
动态场景下的表现 |
支持动态混合批处理,在动态请求中表现更为稳定。 |
不支持混合批处理,动态场景中需要分别处理预填充和解码批量,导致批量大小减少,整体吞吐量低于 TensorRT-LLM。 |
|
TPOT(每个 token 处理时间) |
- TPOT 随输入序列长度增加而上升,因较长序列带来更大的 KV 缓存和注意力计算开销。- 动态数据集的 TPOT 高于固定数据集,因为调度器能够更高效地插入预填充迭代,提高预填充时间利用率。 |
- TPOT 受限于分批策略,在动态场景中可能进一步增加延迟。- 因无法动态优化预填充和解码的时间安排,动态场景中 TPOT 表现不如 TensorRT-LLM 高效。 |
|
优化建议 |
调度策略(如 MAX_UTILIZATION)需进一步优化,以减少抢占带来的延迟,同时提升动态环境下的吞吐量。 |
支持混合批处理是关键优化方向;需提升对动态请求的适配能力,以在实际应用场景中更高效地利用硬件资源。 |
|
现实场景考虑 |
- 动态长度数据集更接近真实 LLM 使用场景,框架需优化以更好地应对动态工作负载。- 在动态环境下,MAX_UTILIZATION 调度策略能更好地适配实际需求,但需权衡内存抢占和性能的关系。 |
动态长度数据集对 vLLM 的挑战尤为显著,尤其是在需要平衡多请求的长度差异时。未来需要通过支持混合批处理等优化策略来提高其在动态环境中的表现。 |
...
#深度学习工作:从追求 SoTA 到揭示新现象
本文主要讨论了从追求模型 SoTA 到揭示新现象的转变。通过几个例子,包括ACNet到RepVGG的发展,RIFE插帧、Film插帧,以及OpenAI的近期工作,阐述了这种转变的重要性。
最近大家对于前沿工作的讨论,常常出现两极分化
比如 DiT,看到很多人说是灌水,研究生实验报告,Sora 以后有人又说“打脸”
比如说 OpenAI-o3,有答主说 “这是真正的智能爆炸,断崖式提升”,然后评论区说 “下次换个话术”
身边的故事,近期审了不少论文,发现大家对于宣称 SoTA 的工作越来越严苛了。往年那种先 SoTA 再故事的论文,眼看着被连环拒。作者喊着性能无敌,审稿人 borderline reject
想了一些东西,也对 论文写作指南(https://github.com/hzwer/WritingAIPaper) 做了点补充
ACNet 到 RepVGG 的现象上升
聊个大佬朋友的例子, @丁霄汉 说 RepVGG 其实可以叫 ACNetv2
简单来说 ACNet 就是训练的时候三个卷积核,推理的时候合成一个

ACNet 在 ICCV19 投稿得分还是有正有负被捞起来,目前 800+ 引用说明后续影响力很不错
我个人觉得并不是当年的审稿人水平太差没有看出它的创新性,而是 ACNet 的创新性在丁博的后续工作中有广泛提升
因为 RepVGG 抽象了一个新概念“结构重参数化”,把 ACNet 中不好说清楚动机的设计方式变成 “构造一系列结构(一般用于训练),并将其参数等价转换为另一组参数(一般用于推理),从而将这一系列结构等价转换为另一系列结构”
然后同时又报告了一个现象,即 VGG 式的网络,只要有并行的恒等和 1x1 卷积分支,就能训出 ResNet 相当的性能,推理时还跟原来的 VGG 结构一样
重参数化自此成为手工设计 CNN 的一类重要操作
论文刷点是一部分,更高的性能同时揭露新的现象,才是学术的本质
王婆卖瓜 - RIFE 插帧
卖个自己论文的例子 - RIFE 实时视频插帧模型(https://www.zhihu.com/question/516128811/answer/2557922020)
我近一两年才逐渐意识到自己阴差阳错做了一篇还不错的论文,目前还不知道怎么达到更高水平,希望以此为例传达一些经验教训
研究初衷是当时业界流行的插帧算法 DAIN 速度比较慢,就想设计个规整的 CNN 网络来做一个实时插帧模型
一开始投稿也是主要突出 SoTA 性能,但是审稿人买账的不多,特别是轻量化模型并不是一个讨喜的研究话题,被拒好几次
虽然我们认为某个指标提高就是模型核心竞争力的体现,但是全世界大概只有几个小同行共识,而且提高一点性能,本身不为领域带来什么新的知识
于是我们重写了文章,更多的加入了新的发现,于是审稿人和读者可以各自寻找心中的哈姆雷特
- 把先前一些模型的误差解释为光流逆转时忽略了物体空间移动,所以我们有更强的动机在轻量化网络中端到端估计中间帧光流
- 对于为什么要做光流蒸馏,先指出输入中间帧信息为“特权”的模型会有高得多的性能
- 多倍插帧,我们发现把目标时间 T 输入进网络是可以实现控制任意时刻插帧的,而且训练之后还可以放入梯度式的时间编码实现场景融合或果冻效应模拟
- 将光流和融合权重先一起预测,可以用来做其它模态的插帧
- 性能上我们也改成强调整体设计带来的多倍插帧场景的效果提升等等
这样自己都不用强调,审稿人每个人都会说这篇论文提出的方法性能很好
我们希望读者觉得论文更有读的价值,现在看引用也真的来自很多不同的方向,比如有 20+ 篇做果冻效应的引用
为什么说 “阴差阳错” 呢,因为很多 idea 其实是多次 rebuttal 以后想的。比如说有两次审稿人批评不能做任意时刻插帧,我就回复说这个简单,把目标时间 T 输入就行了嘛。审稿人说,没做实验你说个锤子,一做才发现效果比预期还好
水平所限,当年其实还是没有把这篇论文写的很好,写这篇总结是希望下次能做的更优美
不用刷 SoTA 的 Film 插帧
带着这样的视角,看看为什么有的论文在很卷的赛道也能中得顺利,发在 ECCV22 的插帧论文 Film: Frame interpolation for large motion(https://github.com/google-research/frame-interpolation),Fitsum Reda 大佬作品

看宣称的论文贡献:
我们将帧插值的范围扩展到一个新颖的近重复照片插值应用,为社区开辟了一个新的探索空间。
– 我们调整了一个共享权重的多尺度特征提取器,并提出了一个尺度无关的双向运动估计器,使用常规训练帧来很好地处理小范围和大范围的运动
– 我们采用基于Gram矩阵的损失函数来修复由大场景运动引起的大范围遮挡,从而生成清晰且令人满意的帧
– 我们提出了一个统一、单阶段的架构,以简化训练过程,并消除对额外光流或深度网络的依赖
很明显地有一些新东西,首先是开辟新的研究范围,找到一些以往算法都会挂掉的例子
然后围绕这个问题构建整个论文,提出了一系列设计,包括结构和损失函数
和别人的对比是次要的,在以往 benchmark 上和 SoTA 差不多可比就可以了,突出一些关注场景的性能
近期热门的 OpenAI 工作
OpenAI 发的一系列东西,如果我们从做新现象的角度去审视,就能知道为什么它们是好东西
比如说 Sora 现在不如可灵,那它是不是价值显著下降?
我觉得可灵以及很多国产视频生成大模型的广泛成功,其实说明了 Sora 的含金量,即它展示的现象是别人可以复现的,通过 DiT 来高质量长时长的可控视频生成,甚至于它的失败例子其实都是很有意思的实验现象
GPT4 / o1 / o3,每一个都展示了前代模型没有的新现象,这是它们足以吸引诸多研究者的原因
如果我第一次看到 ChatGPT,我会很疑惑怎么会有这样交互水平的对话模型,它是不是在时不时联网 + 人工干预 + 复杂的 pipeline 设计来产出内容
然后当我们在小模型复现了一些流程以后,会惊讶于一个 7B 左右大小的模型真的能日常对话
GPT4 一开始最吸引我的,就是它解决我出的算法题的水平。虽然它在这方面不如很多经过训练的初中生,但是比起其它胡说八道的模型真的强了很多
o1 / o3 是思维链了更扩展版本,探索了用更多的推理开销换取智能的可能性
具体就不赘述了,总之我希望社区看这些工作的时候,不要过多讨论 xxx 是不是通往 AGI(通用人工智能)的路子,以及 xxx 的本质是不是就是 xxx,而是分享我们能从新方法看到什么新现象
新的现象才孕育着新的可能
...
#大模型自动搜索人工生命,做出AI科学家的Sakana AI又放大招
2024 临近尾声,AI 又给了所有人一个大惊喜,这次可以用来自动发现新的人工生命形式了。
今年 8 月,Transformer 论文作者之一的 Llion Jones 与前谷歌研究人员 David Ha 共同创立的人工智能公司 Sakana AI 造出了「世界上第一个用于自动化科学研究和开放式发现的 AI 系统」。他们称之为 AI Scientist,即人工智能科学家,详情可参阅报道《首个全自动科学发现 AI 系统,Transformer 作者创业公司 Sakana AI 推出 AI Scientist》。
而现在,他们又拿出了另一项震撼性的重磅研究成果:使用基础模型搜索人工生命的系统 ASAL。

人工生命(Artificial Life),听起来很科幻,但其定义并不复杂:就是被制造出来的生命。数学家约翰・何顿・康威在 1970 年提出的著名的「生命游戏」便是一种模拟人工生命系统,其中定义的规则可让其中的「细胞」像生命体一样运作。
,时长00:16
研究人工生命的一个核心哲学理念是我们不仅想要了解「我们所知的生命」,还想要探索「可能存在的生命」。下图为 ASAL 其中一位作者 Phillip Isola 的推文以及他分享的一种人工生命。


此外,人工生命研究还可以得到有望改变和加速 AI 进步的关键见解。该团队表示:「通过利用 AI 加速人工生命的发现,我们可以加速对涌现、进化和智能的理解 —— 这些核心原则可以启发下一代 AI 系统!」
该研究发布后吸引了大量点赞和讨论。


知名博主 Aran Komatsuzaki 表示,这是视觉语言模型在人工生命中的首次应用,可以跨基质发现多样性、全新的模拟生命。

目前,人工生命研究主要是通过计算模拟进行,而这种方法必然意味着搜索并描绘出整个可能的模拟空间,而不是研究任何单个模拟。这样一来,研究者便可以了解不同的模拟配置可以怎样产生不同的涌现行为。Sakana AI 的这篇论文首次实现了借助基础模型来自动化这个搜索过程。另外,OpenAI、MIT等其他机构和独立研究者也参与了研究。

- 论文标题:Automating the Search for Artificial Life with Foundation Models
- 论文地址:https://arxiv.org/pdf/2412.17799
- 在线论文:https://pub.sakana.ai/asal/
- 项目代码:https://github.com/SakanaAI/asal/
虽然人工生命模拟的进化和学习的具体机制有很多,但迄今为止,该领域取得实质性进展的一个主要障碍是:缺乏一种系统的方法来搜索所有可能的模拟配置。如果没有这种方法,在设计人工世界最重要的方面(世界本身的规则)时,研究者就必须依靠直觉。
对此,一部分挑战在于简单组件的大规模相互作用可能会产生复杂的涌现现象,这些现象很难甚至不可能被提前预测。
正是由于模拟配置与涌现现象之间缺乏关联,因此研究者很难凭直觉设计出能展现出自我复制、类似生态系统的动态或具有开放属性的模拟。因此,这一领域的实际做法往往是针对简单和预期的结果来设计模拟,这就限制了意外发现的可能性。
也许,是时候自动化了!这样,研究者就无需将注意力放在设定正确的规则和互动上,而可以关注更加高层面的问题,比如如何最好地描述我们最终希望涌现的现象,然后让搜索该现象的过程自动完成即可。
不过,描述目标现象本身就极具挑战性。虽然之前已经有一些研究试图通过复杂的度量(比如生命、复杂度、有趣度等)来量化人工生命,但这些度量基本上都无法完全体现人类想要表达的那种微妙的生命概念。
Sakana AI 表示:「虽然我们还不了解我们的宇宙为何或如何变得如此复杂、丰富和有趣,但我们仍然可以将其作为指引,引导我们创建引人入胜的人工生命世界。」
该团队认为,在大量自然数据上训练得到的基础模型具备类似于人类的表征,甚至可能基于我们的真实世界统计数据得到一个理想化的表征。这种特性使得基础模型非常适合用于量化人类对人工生命复杂度的概念。
该团队的 ASAL(自动搜索人工生命)研究便是基于这一思路开展的。他们表示这是一种人工生命研究的新范式。

既然是新范式,那么肯定需要做一些定义。
首先,该团队将所需的模拟集合定义为 substrate,即基质。然后,如图 1 所示,ASAL 让基础模型可使用三种不同的方法来识别所需的人工生命模拟:
1. 监督式目标:搜索能产生指定目标事件或事件序列的模拟,有助于发现任意世界或与我们自己的世界相似的世界。
2. 开放式:在基础模型的表征空间中搜索会随时间不断提供新变化的模拟,由此可以发现对人类观察者来说总是很有趣的世界。
3. 阐明(Illumination):搜索一组相关的多样化模拟,从而展现对我们来说非常陌生的世界。
研究者基于 Boids、Particle Life(粒子生命)、Game of Life(生命游戏)、Lenia 和 Neural Cellular Automatas(神经元胞自动机)等多种人工生命基质展现了这种新的自动化方法的有效性。
在每种基质中,ASAL 都发现了以前从未见过的生命形式,并扩展了人工生命中涌现结构的边界。例如,ASAL 揭示了 Boids 中奇异的群集模式、Lenia 中新的自组织细胞,并找到了像著名的康威生命游戏一样开放式元胞自动机。
方法:自动搜索人工生命
图 2 展示了新提出的 ASAL 范式,其中包括三种基于视觉 - 语言基础模型的算法。每种方法都能通过不同类型的自动搜索发现人工生命模拟。深入细节之前,先来看看相关概念和符号。

人工生命基质(substrate),记为 S,其包含任何一组相关的人工生命模拟(例如,所有 Lenia 模拟的集合)。这些模拟可能在初始状态、转换规则或两者上有所不同。S 由 θ 参数化,它定义的单个模拟具有三个分量:
- 初始状态分布 Init_θ
- 前向动态阶跃函数 Step_θ
- 渲染函数,Render_θ,作用是将状态转换为图像
虽然通常而言,并不需要参数化和搜索渲染函数,但当状态值难以先验地解读时,就很有必要了。将这些项串到一起,可定义一个 θ 函数,它对初始状态 s_0 进行采样,运行 T 步模拟,并将最终状态渲染为图像:

最后,还有另外两个函数 VLM_img (・) 和 VLM_txt (・),它们的作用是 通过视觉 - 语言基础模型嵌入图像和自然语言文本,以及相应的内积 ⟨・,・⟩,以促进该嵌入空间的相似性测量。
监督式目标
人工生命的一个重要目标是找到能让所需事件或事件序列发生的模拟。这样的发现将使研究者能够找到与我们自己的世界相似的世界,或测试某些反事实的进化轨迹在给定基质中是否可能,从而深入了解某些生命形式的可行性。
为此,ASAL 会搜索一种模拟,该模拟会产生与基础模型表示中的目标自然语言提示词相匹配的图像。研究者可以控制在每个时间步骤应用哪个提示(如果有的话)。

开放式
人工生命的一大挑战是寻找开放式模拟。找到这样的世界才能复现现实世界中永无止境的有趣新奇事物的爆发。
尽管开放性是主观的且难以定义,但正确表示空间的新颖性(novelty)可以体现开放性的一般概念。这样一来,可将测量开放性的主观性外包给表征函数的构建。在本文中,视觉 - 语言基础模型表征充当了人类表征的代理。

阐明
人工生命的另一个关键目标是自动阐明不同现象构成的整个空间,而这些现象是从基质涌现出来的。基于此,可以让我们了解「生命的可能模样」。因此,阐明是描绘和分类整体基质的第一步。
为了实现这一目标,ASAL 会搜索一组模拟并且这些模拟产生的图像与基础模型表征中的最近邻相距甚远。该团队发现最近邻多样性比基于方差的多样性能实现更好的阐明。

实验表明 ASAL 还真行
该团队使用不同的基质验证了 ASAL 范式的有效性。
首先,他们使用的基础模型包括 CLIP 和 DINOv2。基质则如下所述:
- Boids:模拟的是 N 个「鸟状物体(boids)」在 2D 欧几里得空间中的移动情况。所有 boids 都共享权重一样的神经网络,其会根据局部参考系中 K 个近邻 boids 向左或向右操纵每个 boid。该基质是神经网络的权重空间。
- 粒子生命:模拟 N 个粒子,这些粒子又可分为 K 类;它们在一个 2D 欧几里得空间运动。该基质是 K × K 相互作用矩阵的空间,β 参数确定了粒子之间的距离。初始状态是随机采样的,粒子会自组织形成动态模式。
- 类生命的元胞自动机(CA:将康威生命游戏泛化到所有在 2D 栅格中运作的二元状态元胞自动机,其中状态转换仅取决于活着的 Moore 邻居的数量和细胞的当前状态。该基质有 2^18 = 262,144 种可能的模拟。
- Lenia:将康威生命游戏推广到连续空间和时间,允许更高的维度、多个核和多个通道。该团队使用了 LeniaBreeder 代码库,它定义了基质,其中动态维度为 45 个,初始状态维度为 32 × 32 × 3 = 3,072 个。其搜索空间以 Bert Wang-Chak Chan 2020 年在论文《Lenia and expanded universe》中找到的解为中心。
- 神经元胞自动机(NCA):通过神经网络表示局部转换函数来参数化任何连续元胞自动机。该基质是神经网络的权重空间。
搜索目标模拟
其中包括单个目标和随时间变化的目标序列。
对于单个目标,以下动图定性地展示 ASAL 的良好效果,可以找到与指定提示词匹配的模拟。
对于时间目标,下图表明可以找到能产生遵循一系列提示词的轨迹的模拟。通过指定所需的进化轨迹并使用约束基质,ASAL 可以识别体现所需进化过程本质的更新规则。例如,当提示词序列为「一个细胞」然后是「两个细胞」时,相应的更新规则本质上就是实现自我复制。

搜索开放式模拟
图 5 展示了 ASAL 在类生命元胞自动机的开放式模拟中的潜力。

根据 3 式中的开放式指标,著名的康威生命游戏位列最开放的元胞自动机(CA)的前 5%。
图 5a 表明,最开放的 CA 表现了处于混沌边缘的非平凡动态模式,因为它们既没有稳定也没有爆发。
图 5b 则描绘了三个 CA 在 CLIP 空间中随模拟时间的轨迹。由于基础模型的表征与人类表征相关,因此通过基础模型的表征空间在轨迹中产生新颖性也会为人类观察者产生一系列新颖性。
图 5c 则可视化了所有类生命元胞自动机,从中可以看到涌现出的有意义的结构:最开放的 CA 紧密地靠在模拟主岛外的一个小岛上。
阐明整体基质
该团队使用了 Lenia 和 Boids 基质来研究公式 4 中的阐明算法的有效性。基础模型是 CLIP 。他们定制了一个用于搜索的遗传算法:在每一代,随机选择父母,创建变异的孩子,然后保留最多样化的解子集。
下面的 2 个「Simulation Atlas」展示了生成的模拟集。

此可视化凸显了按视觉相似性组织的行为的多样性。使用 Lenia 时,ASAL 发现了许多前所未见的生命形式,这些生命形式类似于按颜色和形状组织的细胞和细菌。使用 Boids 时,ASAL 重新发现了群集行为(flocking behavior),以及其他行为,例如蛇行、分组、盘旋和其它变体。
量化人工生命
基础模型不仅有助于搜索有趣现象,而且还可以量化以前只能进行定性分析的现象。图 7 展示了量化这些复杂系统的涌现行为的不同方法。

在图 7a 中,对两个 Boids 模拟之间的参数进行线性插值。这个中间模拟缺乏任一模拟的特征并且显得无序,表明了 boids 参数空间的非线性、混沌性质。重要的是,现在可以通过测量中间模拟的最终状态与两个原始模拟的 CLIP 相似性来为这种定性观察提供定量支持。

图 7b 则评估了粒子生命中粒子数量对其表示某些生命形式的能力的影响。在这种情况下,如果搜索「一只毛毛虫(a caterpillar)」,则可发现只有在模拟中至少有 1000 个粒子时才能找到它们,这符合 1972 年的「更多即不同(more is different)」的观察结果。

在图 7c 中,通过单独扫描每个参数并测量 CLIP 提示词对齐分数的结果标准偏差,量化了粒子生命中每个模拟参数的重要性。在确定最重要的参数后,便对应上了绿色和黄色粒子之间的相互作用强度,这对于毛毛虫的形成至关重要。

图 7d 给出了对于 Lenia 模拟,CLIP 向量随模拟时间的变化速度。当模拟定性地看起来已成静态时,该指标恰好稳定,因此这可提供有用的模拟停止条件。
对于这项研究,你有什么看法呢?
参考链接:
https://x.com/SakanaAILabs/status/1871385917342265592
https://x.com/phillip_isola/status/1871438128172671086
...
#BAAIWorm 天宝
模拟生命体,智源线虫登上Nature子刊封面,探索AGI的第三条路径
智源研究院提出了 BAAIWorm 天宝 -- 一个全新的、基于数据驱动的生物智能模拟系统,首次实现秀丽线虫神经系统、身体与环境的闭环仿真。BAAIWorm 天宝通过构建线虫的精细神经系统、身体和环境模型,为探索大脑与行为之间的神经机制提供重要研究平台。
2024 年 12 月 16 日,智源研究院理事长黄铁军和生命模拟研究中心马雷等共同关于 BAAIWorm 天宝的重要进展在国际著名科学期刊《自然・计算科学》(Nature Computational Science)上发表,并于 12 月 21 日被选为期刊封面故事。
BAAIWorm 天宝的重要创新之处在于其不仅关注神经系统的建模,还将身体与环境纳入考量,形成一个闭环系统,通过模拟线虫的行为,探索神经结构如何影响智能行为。这一工作不仅为研究生物智能提供了新的平台,也为xx智能理论的进一步发展和人工智能领域的应用奠定了基础。
伦敦大学学院 Padraig Gleeson(OpenWorm 团队,本文审稿人之一)评价 BAAIWorm:“这是一项了不起的成果,它将秀丽线虫的生理学和解剖学信息整合进了一个计算模型。在不同层面呈现了诸多进展,而且各项成果相互融合,构成了一幅条理清晰的图景。我认为,这是一项我们在秀丽线虫建模和理解‘脑 - 身体 - 环境’交互方面的重要进展。”
《自然・计算科学》资深编辑 Ananya Rastogi 指出:“这项工作让我眼前一亮。动态的机体与环境相互作用以及精细的模拟相结合,使得在闭环系统中研究大脑活动如何影响行为成为可能。”
这一成果的另一审稿人表示:“这项研究为我们从整体上理解神经系统建立了新的研究范式。传统的神经科学研究往往侧重于分离和理解神经系统或大脑的特定方面。然而,通过综合这些细节全面理解整个生物体仍然是一项挑战。这项研究引入了一种很有前景的方法:尝试构建一个完整的生物体模拟。”
- Nature 文章链接:https://www.nature.com/articles/s43588-024-00738-w
- Research Briefing 链接:https://www.nature.com/articles/s43588-024-00740-2
- BAAIWorm GitHub 地址:https://github.com/Jessie940611/BAAIWorm
一、BAAIWorm 天宝对于xx智能研究的意义
近年来,随着神经科学和人工智能技术的深度交叉融合,研究者们越来越多地尝试通过构建生物体模型来理解神经系统与行为之间的关系,并推动xx智能的研究。国际上的个别研究机构在这一领域取得了显著进展。
2022 年,瑞士洛桑联邦理工学院(EPFL)发布了 NeuroMechFly,一个基于果蝇的神经 - 机械耦合模型,用以研究神经系统如何驱动行为,相关成果发表于《Nature Methods》[1]。
2024 年,EPFL 进一步发布了 NeuroMechFly v2,对该模型进行了优化,进一步提高了神经 - 身体交互的功能性 [2]。
与此同时,DeepMind 也在推动生物智能模拟方面迈出了重要步伐,2020 年初步发布了 Virtual Rodent,该模型通过模拟啮齿动物的大脑与身体运动,推动了对生物智能的理解。2024 年,DeepMind 在《Nature》上发布了 Virtual Rodent 的更新版,进一步提升了该模型在神经网络和行为模拟方面的能力 [3]。
生物智能无疑是人工智能研究的源头。BAAIWorm 天宝通过高精度还原和模拟生物智能,为理解和探索生物启发的xx智能的核心机制提供了重要的实验平台。
通过将大脑、身体和环境的互动整合到一个闭环系统中,BAAIWorm 天宝展示了神经系统如何通过与身体及环境的协同作用,产生复杂而高效的行为。这一研究不仅加深了对生物智能的理解,也为开发具有类似感知与运动能力的人工xx智能系统提供了新的视角。
二、BAAIWorm 天宝介绍
在秀丽隐杆线虫中,运动、觅食等行为是由其神经回路、肌肉生物力学和实时环境反馈之间的协调互动驱动的。然而,传统的模型往往将神经系统或身体环境孤立开来,未能捕捉到支撑复杂行为的整体 “大脑 - 身体 - 环境” 交互。在生物物理学上精确模拟这种复杂性仍然是一个挑战,这也突显了构建完整的闭环模型的必要性,以连接神经网络、生物力学和环境反馈。
智源研究院生命模拟研究中心旨在开发这样一个闭环的生物物理精细模型(“生命模型”),以精确模拟生物体在神经、生物力学和环境互动中的复杂行为。团队采用可扩展的多层次方法,包括多舱室神经元模型,通过细致模拟神经网络中间隙连接、突触和神经元的活动,生成了生理上准确的神经动态。在这项研究中,团队着手开发一个开源模型 ——BAAIWorm,用于在闭环系统中模拟秀丽隐杆线虫的体现行为。
BAAIWorm(一个集成脑 - 身体 - 环境的模型)作为一个开源模块系统,为研究线虫行为的神经控制机制提供了一个多功能平台。BAAIWorm 基于实验数据,由两个子模型组成:一个是生物物理层面上精细的神经网络模型,模拟秀丽隐杆线虫的神经系统;另一个是根据线虫解剖学构建的身体模型,并被一个可计算的简化 3D 流体环境所包围(见图 1)。
神经网络模型中的每个神经元都被表示为一个多舱室模型,模拟神经元的结构和功能部分(如胞体、神经突),以精确复现秀丽隐杆线虫神经元的电生理特性以及基于实验数据的精细突触和间隙连接结构。
身体模型则结合了 96 个肌肉细胞,这些肌肉细胞基于秀丽隐杆线虫的解剖学,在四个象限中建模,以实现计算对称性。表面级的力模拟了推力和阻力,优化了计算效率,同时反映了生物体在流体环境中的互动特性。
系统也简化模拟了环境中的连续感官输入(如食物浓度梯度)。这些输入会动态影响神经计算,进而驱动肌肉收缩,形成一个闭环反馈系统,形成协调的运动轨迹,能够与真实线虫行为类比(见图 1)。

图 1:BAAIWorm 天宝是一个xx秀丽隐杆线虫仿真平台。BAAIWorm 天宝将一个生物物理层面非常精细的神经网络模型与一个生物力学身体和三维环境整合在一个闭环系统中,进行感官刺激和肌肉信号的交互。神经网络模型包含了具有精细结构的神经元模型及突触和间隙连接,通过迭代优化模型参数(如连接权重,连接极性等),逼近真实秀丽隐杆线虫的神经动力学特性。身体模型由 3,341 个四面体(作为身体结构的基本建模元素)和 96 个肌肉组成,与三维环境互动,实现实时的运动仿真。
三、BAAIWorm 天宝亮点
1. 世界最高精度线虫神经网络模型
研究团队基于线虫神经元的真实生理特性,构建了一个生物物理层面上的高精度神经网络模型。神经网络模型中的每个神经元都被表示为一个多舱室模型,模拟神经元的结构和功能部分(如胞体、神经突),以精确复现秀丽隐杆线虫神经元的电生理特性以及基于实验数据的精细突触和间隙连接结构。该模型是目前已知首个同时在神经元层面和神经网络层面都具有真实动力学特性的,基于多舱室建模的高精度秀丽隐杆线虫神经网络模型。

2. 身体环境模型
该模型符合生物线虫解剖特性,可精准稳定的追踪和度量三维软体运动。相比于 OpenWorm,在仿真性能和环境尺度等指标上取得了数量级的提升。

3. 高精度神经系统模型与身体环境模型的闭环仿真
BAAIWorm 天宝首次建立了线虫神经网络模型与身体环境模型的闭环交互,模拟线虫通过之字形运动接近食物的行为。环境中的食物浓度刺激感觉神经元,运动神经元驱动肌肉收缩,生成协调的运动轨迹。在这一过程中,研究人员可以通过模拟的方法,实时观察线虫的轨迹、神经活动以及肌肉信号。

通过 BAAIWorm 天宝,可同时观察线虫运动情况与神经网络每个细节的动态情况。
,时长01:00
四、BAAIWorm 天宝基于 OpenWorm 的新进展
OpenWorm 是一个开创性的开放科学项目,致力于通过建模秀丽线虫(C. elegans)推进计算生物学的发展。智源研究团队在研究中使用了 OpenWorm 提供的诸多宝贵工具和数据,如细胞模型形态、突触动态及 3D 线虫体信息。基于 OpenWorm,BAAIWorm 天宝在多个关键方面实现了显著的进展,推动了这一领域的进一步发展:
1. 增强版神经网络模型
OpenWorm 提供了许多有价值的神经系统建模工具和标准,如 ChannelWorm 和 c302。然而,BAAIWorm 天宝在以下几个方面进行了显著创新:
a) 单神经元建模:c302 提供了多舱室的神经模型,且所有神经元的参数均统一。然而,BAAIWorm 天宝通过调整五种单神经元模型,使其更精确地拟合电生理数据,确保模型能够准确反映真实的神经动力学。
b) 连接精细程度:在 c302 的多舱室神经模型中,神经元的连接位于胞体上,而 BAAIWorm 天宝则在神经元的神经突(neurite)上建立连接,极大提升了神经元连接的解剖学准确性。
c) 训练:c302 生成的多舱室神经网络模型并没有经过训练,而 BAAIWorm 天宝的神经网络模型则经过了严格的训练,以匹配功能图谱,从而更好地捕捉到复杂且真实的神经动力学。
2. 增强版生物体与环境建模
Sibernetic 是 OpenWorm 项目中用于模拟 C. elegans 物理体动态的物理模拟器。尽管 Sibernetic 的粒子模型在某些任务(如压力计算)上有一定优势,BAAIWorm 天宝的生物体与环境模型在多个方面表现出色:
a) 生物体建模效率:BAAIWorm 天宝的体表数据是基于 Sibernetic 的体表数据进行转换的,但四面体线虫体模型相比 Sibernetic 的粒子模型,元素数量大幅减少,极大提高了性能,同时保持了解剖学的真实性。
b) 3D 环境:借助简化的流体动力学,BAAIWorm 天宝的 3D 仿真场景的规模相比 Sibernetic 提高了两个数量级,从而能够模拟更加复杂和大范围的环境。
c) 仿真:BAAIWorm 天宝采用了投影动力学(projective dynamics)作为形变求解器,相比 Sibernetic 显著缩短了每个迭代步骤的仿真时间。同时,投影动力学在使用较大时间步长时也表现出了较高的稳定性,这使得仿真能够更高效地运行。
d) 可视化:BAAIWorm 天宝采用了实时网格渲染和 GPU 光线追踪技术,不仅带来了更佳的视觉效果,还在保证高性能的前提下,提升了仿真场景的真实感和互动性。
3. 闭环互动
OpenWorm 将 c302 神经网络和 Sibernetic 的生物体模型联合实现了两者的交互,但这种交互是开放式的,缺乏环境对于神经系统的反馈。而这一感觉反馈对生物体在环境中生存来说至关重要,BAAIWorm 天宝通过引入感官反馈,实现了神经网络与生物体模型的闭环互动。这一重要创新能够更全面地理解线虫如何与其环境进行互动、处理感官信息并执行协调的运动。
五、未来展望
智源研究院的生命模拟研究中心通过 BAAIWorm 天宝展示了数字生命体建模的潜力,为进一步理解神经控制机制和智能行为的生成机制提供了全新工具。这一成果基于创新的闭环建模思想,将大脑、身体与环境作为整体进行整合,为构建其他数字生命体积累了宝贵经验。
当前人工通用智能(AGI)研究主要沿三条路径展开:数据驱动的人工神经网络(ANN)模型,如 OpenAI 的 GPT 系列;基于 ANN 的强化学习,如 DeepMind 的 DQN;基于 “结构决定功能” 原则的类脑方法,例如脉冲神经网络(SNN)。
智源研究院积极探索第三条路径,通过类脑建模探索神经网络结构如何驱动智能行为。这一方向不仅致力于研究生物智能,还旨在为通用人工智能的实现提供新思路。在这一路径中,生命模拟研究中心开发的天演平台(eVolution)提供了强大的建模和优化能力。该平台通过整合详实的生物数据和微调模型参数,实现模型的 “电子进化”(electronic-evolution),在通往 AGI 的探索中开辟了独特路径。
除了 BAAIWorm 天宝,智源研究院还在开发 OpenComplex(一个开源蛋白质或 RNA 建模平台)和 BAAIHeart(亚细胞层级的高精度心脏建模)。
通过在生命的多个尺度领域研究的协同发展,智源研究院正推动生物智能与人工智能交叉研究的前沿探索,以实现对智能本质的深刻理解和应用。
参考文献
[1] https://www.nature.com/articles/s41592-022-01466-7
[2] https://www.nature.com/articles/s41592-024-02497-y
[3] https://www.nature.com/articles/s41586-024-07633-4
...
#Claude Max
Cursor重磅上线,工具调用一次0.05美元,充值实测一波
用的多,花的多,账单如流水。
AI 编程神器 Cursor 新鲜出炉 Claude Max 模式(MAX 代表了最大智能)!这波操作有点猛。
其核心优势在于处理大规模代码和复杂逻辑时表现出色,适合硬核开发者和大型项目。

Claude Max 是 Claude 3.7 的一种更强大配置,它以 Claude 3.7 Thinking 模型为基础。具有超强的创造力,能在其他模型失灵时脱颖而出,解决更复杂、更精妙的任务。
其次,它的上下文窗口高达 200K,这意味着你可以尽可能多地将代码放入提示中。以前的模型在处理这类任务时表现不佳,但 Claude 3.7 是第一个在处理如此大的上下文窗口时表现更好的模型。
此外,Claude Max 将工具调用限制提高到了 200 次,这意味着它可以一次性进行大量编辑,并在整个代码库中收集上下文!
最后,它可以一次性读取更大块的代码。
不过,想要尝试的小伙伴要悠着点了,可能一个不小心就榨干你的钱包,因为 Claude Max 收费不包含在标准 Pro 订阅中,每次请求和工具调用均需支付额外的费用:即采用按使用量计费的方式,每次请求(prompt)收费 0.05 美元,每次工具调用收费 0.05 美元;对于大多数用户来说,可能不值得花费这些钱。
如果不加以控制,Claude Max 在完成其可用的 200 次工具调用后,可能会花费你 10 美元。
只能说,复杂点的项目可以尝试一下,一般项目用其他模型应该就够用了。
现在,X 上已经有用户在晒使用体验了。
,时长01:24
视频来源:https://x.com/MervinPraison/status/1901876045185159295
不过,很多人还是被它的高收费劝退了:谁能想到,以后编程也要氪金了。

「自己让 Claude Max 帮我改完代码后,xcode 出现了一万多个报错。」

还有网友抱怨一个任务跑下来,花费自己十几块钱。

「调用工具 0.05 美元 一次,有时候一轮下来至少调 20 次工具。真是用不起。」

效果到底咋样,上手体验了一番。
一手体验
要使用「黑科技」Claude 3.7 Max,首先需要安装它。目前直接从官网的界面中点击下载的版本(0.47.5)是找不到对应的 Max 模式的。

因此这里在安装它的时候需要从 Cursor 官网中的「ALL Downloads」列表中手动查找并下载最新版本,经测试版本为 0.47.8 的 Cursor 支持 Claude 3.7 Max。

在安装完对应版本的 Cursor 之后,便可进入到交互界面。

接下来我们来感受一下 Claude Max 的强大编程性能,我们先来通过一个小球碰撞测试,将 Claude Max 与其他模型进行对比,来测试一下小球碰撞的物理模拟效果。
提示词:编写一个 Python 程序,显示一个球在旋转的六边形内弹跳。球应该受到重力和摩擦力的影响,并且必须逼真地从旋转的墙壁上弹起。

为了验证 Claude Max 在物理模拟中的表现,我们运行了由其生成的代码,整个过程耗时约 20 多秒。

通过观察小球的运动轨迹,可以直观感受到 ChatGPT-4.0 和 Claude Max 对重力和摩擦力模拟的差距,这一对比结果从侧面反映出 Claude Max 在代码编程上有着出色的表现。
接下来,我将测试场景转向了更为复杂的 3D 模拟赛车游戏,同样基于 Claude Max 版本进行,以下是该测试的结果输出展示。
提示词:为我构建一款 3D 模拟赛车,让我在场景中感受驾驶。

此次生成过程大约持续了 3 - 5 分钟,现在就让我们一同来检验一下生成的效果如何吧。

虽然生成过程有点长,但令人意外的是,生成的 3D 模拟赛车游戏具备同时切换多种视角的功能。
事实上,Claude 系列带给我们的惊喜远不止于此。前几天就有网友借助 Claude 成功打造出一款简单又好玩的 3D 赛车游戏。

Claude 3.7 Max 的另一大优势是强大的应用开发能力,这为我们提供了无限的想象空间。例如,我们可以让 Claude 3.7 Max 生成一个 AI 记账 App,用的是 Agent 模式,以下是输出结果展示。
提示词:请帮我从 0-1 编写一个记账 App。

整个过程耗时 8 分钟左右,以上动图有适当加速。

而且生成过程中会有中断,我们需要通过提示词继续让 Claude Max 进行输出才能生成完整的代码文件。值得一提的是,在测试过程中曾遇到报错,经过个人调试后才成功实现了如上图所示的结果。
总体而言,这次体验基本顺利,Claude Max 的表现有令人惊喜之处。它不仅能够辅助程序员进行应用开发,还能优化个人的财务规划。然而,距离完全智能化仍有改进空间,期待未来的进一步优化与提升。
参考链接:
https://forum.cursor.com/t/claude-3-7-max-out-now/65698/6
...
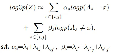
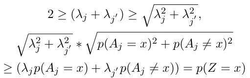
#Palette of Language Models: A Solver for Controlled Text Generation
中国移动九天团队提出大模型调色板:一种可控文本生成的解决方案
中国移动九天人工智能团队(中国移动研究院人工智能与智慧运营中心),作为中国移动在人工智能领域的核心力量,自2013年起便致力于推动人工智能技术的研发与应用。该团队由中国移动集团级首席科学家、IEEE Fellow冯俊兰博士领衔,依托中国移动全球领先的算网基础设施、海量数据资源和丰富应用场景优势,全力打造“九天”人工智能品牌。九天人工智能团队不仅是中国移动在AI领域的“国家队”,更是推动行业智能化转型的重要引擎。目前,九天人工智能团队已汇聚超过800名优秀研发人员,其中硕博占比高达90%,来自头部院校的博士近百人。团队牵头承担了20余项国家和省部级科创项目,发表了国际顶会、顶刊论文180余篇,获得发明专利1039项,并在顶级AI竞赛中荣获TOP5奖项19项。
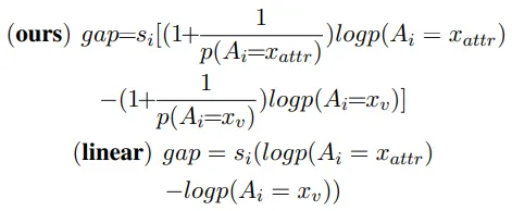
大模型在文本生成方面取得了卓越的成就,通过合适的prompt设计,往往可以使得生成结果符合特定的需求。但是为属性繁多的任务设计出合适的prompt是很困难的。一种解决方案是通过线性组合方式或者其变种将每个属性对应的模型在生成logits上进行融合。鉴于属性之间可能存在的冲突现象,这种方案无法保证模型的主属性不受其他模型的干扰。
在这项研究中,我们借助贝叶斯公式及最小化条件互信息策略,对属性冲突现象进行了严谨的建模,最终得到一种新颖的多属性模型融合策略,并将其拓展到单属性prompt设计方面。同时归纳出两条多属性模型融合方案的指导准则,藉由此在理论上证明了我们的方案要优于线性组合方案。我们在敏感信息控制、生成情感等单/多个属性融合场景下验证了方法的有效性。
- 论文题目:Palette of Language Models: A Solver for Controlled Text Generation
- 论文地址:https://arxiv.org/pdf/2503.11182
背景
可控文本生成算法是控制语言模型输出的主要策略,对于对齐人类偏好、风格转换、话题切换等场景有着重要的应用意义。
在大模型时代,通过简单的 prompt 设计往往可以实现这种需求,例如:指令「请以安抚的口吻回复客户的问询」会控制模型生成具有积极意义的回复,充分考虑用户当前情感并妥善处理用户问题。
但是当需要控制属性数量较多、且控制力度更细节时,简单的 prompt 设计将无法有效支撑这样的场景。
例如「回复中要有 40% 的积极情感、20% 的正式表述、夹杂 10% 的孩童口吻」,这样的 prompt 设计很难被模型理解,而其中的部分属性也会由于属性数量的庞大被弱化无法有效表达。
线性组合及其变种(union 及 intersection)是多属性模型融合的一种有效方法,通过为每个属性分配权重控制该属性的表达效果:

具体地如上式所述,计算各个属性模型在输出 logits 上的值并进行组合,得到最终要控制的复杂属性的分布。每个属性都有对应的系数,随着该系数的增大,最终模型会越来越表现出该属性的特点。union 与 intersection 方式分别指将属性求和替换为取最大值与最小值。
属性之间往往存在冲突现象,这是由于语言的表达方式很难做到属性级别的细分,例如上面的例子中,「以孩童的语气」属性中会暗含「不够正式的说法」,这与「正式表述」属性是矛盾的,在融合过程中前者必然会弱化后者的表达。线性组合方案并未对这种现象进行显式的建模,因此当存在属性冲突时,受影响属性的系数不会按照理论上的比重控制最终组合效果。
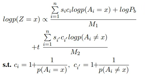
方法
我们提出了语言模型调色板方法,通过贝叶斯公式与最小化条件互信息,对属性模型的组合过程进行了合理的建模。

图 1 语言模型调色板设计
属性组合过程被建模为:给定若干具有某种主属性的模型,我们需要寻找一种合适的组合方案得到某个复杂融合属性的分布,同时要满足组合之后任意两个属性间的影响作用最小。

受条件互信息的启发,我们将属性间影响的度量 M 建模为在最终组合分布条件下,这两种属性间的互信息值,也就是:

为了充分利用该度量方式,我们借助贝叶斯公式将最终组合分布 p(Z) 分别进行单属性与两属性条件下的分解,并将结果进行整合,从而得到 p(Z) 与任意两个属性间的关系:

最小化条件互信息的引入使得我们可以对上式中属性间杂糅的表达形式进行解耦,并扩展到 N 个属性组合。借助柯西不等式,我们对结果进行简化处理:

我们将属性的后验概率定义为属性强度 Si,其代表了在最终分布条件下,该属性的贡献值。因此,最终的属性组合方案可以表示为:

这里 M1 与 M2 为归一化系数。上述组合策略以不带任何属性倾向的模型 Pb 作为 base,用来控制最终分布 logits 的合理性与稳定性,而单属性 prompt 设计也可以据此建模为该属性与 base 模型的组合,这样就实现了单属性与多属性在策略上的统一性。
我们提出「属性 token」的概念,对其进行数学上的定义,并基于此归纳出两条多属性组合方案的设计准则:
![]()
1)属性表达与属性强度之间的正相关关系
2)属性增强理念
具体地,我们的方法满足下列特征。
其一,随着属性强度 Si 的增加,「属性 token」的概率值会相应增加:

其二,我们的方法相比于线性组合方案,属性增强的幅度会更大:

这两条准则在一定程度上可以衡量某种多属性组合策略的优越性,也为多属性组合方案提供了指导。
结果
在实验过程中,考虑到公式中 1/p 的结果可能出现很大的情况,我们使用 sigmoid(.) 函数将其约束并保持同样的单调性:

借助上述设计准则,我们同样证明了这种替换方式的有效性:
1)sigmoid(.) 属性正相关:

2)sigmoid(.) 属性增强:

我们在单/多属性组合场景下进行实验验证,结果都优于 baseline 方法。如下表 1 为情感单属性控制;表 2 为设计的反向敏感信息与情感融合的多属性控制,其中敏感信息对情感具有弱化作用,我们的方法可以减少这种弱化,因此最终情感值都会高于线性组合方法;表 3 设计为正向敏感信息与情感融合的多属性控制,其中敏感信息对情感具有强化作用,我们的方法可以减少这种强化,因此最终相对情感值都会低于线性组合方法。

表 1 情感转换控制(单属性)

表 2 敏感信息 + 情感控制(多属性,弱化作用)

表 3 敏感信息 + 情感控制(多属性,强化作用)
同时我们在情感属性控制场景下验证了属性表达与属性强度之间的正相关关系,如图 2 所示:

图 2 属性表达与属性强度正相关关系
另外,我们也发现组合公式中的互补事件系数 t 对最终组合结果影响较小,因此在实际组合场景中,我们可以只使用公式的前半部分进行属性控制,而这部分表达与线性组合方式在形式上是相近的,区别在于 1/p 的引入。

图 3 互补事件系数 t 对属性表达影响(红色线条表示 t=0)
总结
我们提出了一种新颖的多属性组合策略,有效解决了传统线性组合方式面临的属性冲突难题,并从理论上归纳出属性组合策略的指导准则。该策略是对体系化人工智能大闭环框架中原子能力组合方式的探索,对于「如何准确衡量原子能力的边界并规避边界交叉现象」问题给出了有效答案。
参考文献:
[1]冯俊兰,体系化人工智能,北京邮电大学学报,2024
[2]Hanqing Zhang, Haolin Song, Shaoyu Li, Ming Zhou, and Dawei Song. 2023. A survey of controllable text generation using transformer-based pre-trained language models. Preprint, arXiv:2201.05337.
[3]Jasper Dekoninck, Marc Fischer, Luca Beurer-Kellner, and Martin Vechev. 2024. Controlled text generation via language model arithmetic. In The Twelfth International Conference on Learning Representations.
[4]Xin Liu, Muhammad Khalifa, and Lu Wang. 2023. Bolt: Fast energy-based controlled text generation with tunable biases. Preprint, arXiv:2305.12018.
[5]Jonathan Pei, Kevin Yang, and Dan Klein. 2023. PREADD: prefix-adaptive decoding for controlled text generation. In Findings of the Association for Computational Linguistics: ACL 2023, Toronto, Canada, July 9-14, 2023, pages 10018–10037. Association for Computational Linguistics.
[6]Timo Schick, Sahana Udupa, and Hinrich Schütze. 2021. Self-diagnosis and self-debiasing: A proposal for reducing corpus-based bias in nlp. Preprint, arXiv:2103.00453.
[7]Kevin Yang and Dan Klein. 2021. FUDGE: controlled text generation with future discriminators. In Proceedings of the 2021 Conference of the North American Chapter of the Association for Computational Linguistics: Human Language Technologies, NAACL-HLT 2021, Online, June 6-11, 2021, pages 3511–3535. Association for Computational Linguistics.
...
#GridMix
突破深度学习求解PDE的瓶颈,清华提出空间调控新范式
近年来,深度学习在偏微分方程(PDEs)求解中展现出前所未有的潜力。从气象模拟到材料科学,基于数据驱动的神经网络模型正不断重塑科学计算的边界。尤其是神经场(Implicit Neural Representations,INRs),凭借其连续参数化的特性,能够实现跨几何形态的高分辨率建模,在复杂场景下展现出卓越的精度和灵活性。
然而,当面对具有剧烈空间变化的场景时,现有 INR 方法暴露出明显的瓶颈。传统的全局调控机制要求模型在所有空间位置共享同一组调控参数,这种方式在捕捉局部细节特征时显得力不从心。随着场景复杂度的提升,全局调控不仅限制了模型精度,还导致泛化能力下降。
为了解决这一难题,清华大学研究团队提出了一种创新的空间调控方法 ——GridMix。灵感来源于谱方法的思想,GridMix 将空间调控参数表示为一组网格基函数的线性组合。GridMix 具备以下特点:
- 保留了空间调控的细粒度局部性,确保建模精度;
- 同时通过共享基函数提取全局结构信息,有效缓解了过拟合风险。
在一系列挑战性的 PDE 建模任务中,GridMix 展现出了显著的性能提升。特别是在稀疏空间域和时间外推场景下,其鲁棒性表现尤为突出。该研究已被 ICLR 2025 接收,并获选为 Oral 论文(入选比例 1.8%)。
- 论文标题:GridMix: Exploring Spatial Modulation for Neural Fields in PDE Modeling
- 论文地址:https://openreview.net/forum?id=Fur0DtynPX
- 项目主页:https://github.com/LeapLabTHU/GridMix.git
方法
本文研究聚焦于偏微分方程(PDE)建模任务,其核心是近似算子
![]()
。该算子根据底层 PDE,将输入空间

中的函数映射到输出空间

。此处

表示定义域为且值域为

的平方可积函数构成的无限维空间。我们重点研究以下两类典型任务:
- 动态系统建模:旨在捕捉物理系统在预测时间范围内的动态演化过程。具体表现为建模系统从状态
-

- 到状态
-

- 的转移过程,其中
-

- 表示时间步长。
- 几何感知预测:根据系统的几何构型预测其状态。
在几何预测中,每个数据样本分布于不同的空间域
![]()
上;而对于动力学建模,所有样本使用相同的训练空间域

,测试时则采用与训练域不同的空间域来评估模型性能。需特别说明的是,

和

均为完整域

的子集。
基于 INR 的 PDE 建模方法
CORAL 是最具创新性的 INR 方法之一,它通过两阶段训练策略解决偏微分方程建模问题。在第一阶段(重构阶段),该框架采用两个神经调控场

和

分别对输入和输出函数进行参数化建模。这些神经调控场作为基础模型,通过不同调制参数实现对不同函数的重构。具体而言,INR 参数

和

在各自函数空间中共享,而调制参数和则是每个函数特有的。这些调制参数通过超网络
![]()
和
![]()
从低维调控向量
![]()
和
![]()
中生成:

,

。经训练后,每个函数可由低维调控向量经过共享 INR 重构,其重构误差代表了表示质量。在第二阶段(预测阶段),CORAL 通过处理网络
![]()
学习调控编码
![]()
与
![]()
之间的映射关系。

图 1. 基于 INR 的 PDE 建模框架
CORAL 的全局调控
CORAL 利用 SIRENs 作为其 INR 的骨干网络。SIRENs 是具有正弦激活函数的多层感知机,可以表示为:

其中,

是网络权重和偏置,

为固定的放缩因子,

,

是空间坐标
![]()
下的第层中间表示结果。
CORAL 通过平移调控(Shift Modulation)对 SIRENs 进行扩展,将单个函数表示为:

其中

表示第 i 层的调制参数。需要注意的是,这种全局调控参数
![]()
在不同空间坐标之间是共享的。这一特性限制了神经调控场表示复杂函数空间的能力。正如先前的研究所展示的,全局调控无法捕捉局部细节,因为调控参数的任何变化都会导致重构函数的全局扰动。

图 2. 不同调控方式
GridMix
基于网格表征的空间调控方法在提升 INR 学习能力方面展现出显著优势,特别是在三维重建领域,其有效性已被广泛验证。受此启发,本文旨在探索空间调控在 PDE 建模中的的应用及其潜在优势。具体而言,空间调控引入了一个基于网格的单通道特征

,其中H和W分别表示网格的空间分辨率(以二维空间为例)。我们可以从该网格特征中提取位置相关的调控参数

。具体步骤如下:给定空间位置
![]()
,首先提取围绕该位置的相邻网格点(在二维情况下为四个点)上的特征,其次通过双线性插值计算

。空间调控对应的平移调控方法可表示为:

空间调控引入的位置相关的调控参数虽擅长捕捉局部信息,却难以在稀疏 / 不规则的空间域中建模全局结构,导致未知区域重建质量骤降(如图 3 所示),从而严重制约跨空间域的泛化能力 —— 而这正是鲁棒 PDE 建模的关键要求

图 3. 重建效果对比:观测数据的空间域在训练集之外
为了缓解空间调控在训练空间域上的过拟合问题,GridMix 将空间调控参数表示为一组网格表征的线性组合,如图 2 (c) 所示。首先,GridMix 定义一组网格表征作为基函数,再通过这些基函数的线性组合生成空间调控参数。具体而言,每一隐藏层的网格混合表示为

其中

。这里

表示 M 个网格基函数,

为第 i 层的线性组合系数。这些系数通过超网络 h 从低维调控向量 z 中估计得到。网格基函数在不同的函数实例中共享,并与神经调控场一同优化。GridMix 具有以下特点:
- 局部细节捕捉:GridMix 保留了网格调控的局部特性,通过引入额外的可学习参数增强了模型在局部细节重建的表达能力;
- 全局结构建模:GridMix 通过共享基函数对调控空间起到正则化作用。相比一般空间调控需要为每个函数额外学习个
-

- 独立参数,GridMix 将参数维度降低至基函数的个数。这种维度压缩有效减少了过拟合的风险,提升了模型对全局结构的重建能力,以及在不同空间域上的泛化能力。
实验
动态系统建模
在 Naviers-Stokes 和 Shallow-Water 两个动态系统建模任务上,GridMix 相比神经算子方法(DeepONet 和 FNO)、图网络方法(MP-PDE)以及基于全局调控的 INR 方法(CORAL)均取得了显著的性能提升。同时,GridMix 在稀疏空间域的重建和时间外推任务中表现出优越的鲁棒性,进一步验证了其广泛的适用性。

图 4. 动态系统建模任务

图 5. 稀疏空间域下的 Shallow-Water 可视化结果
几何感知推理
在几何感知推理中,模型根据给定的几何结构(例如翼型(NACA-Euler)、水管(Pipe)和弹性材料(Elasticity))预测系统的状态。相较于全局调控方法,GridMix 在所有任务中均实现了性能提升。

图 6. 几何感知推理任务
总结
本文的贡献主要在两个方面:
- 提出了一种新颖的空间调控方式 ——GridMix,它自然地融合了全局调控的全局结构建模和空间调控的局部细节捕捉能力;
- 在动态系统建模和几何感知推理等任务中充分验证了 GridMix 的卓越性能,特别是在稀疏空间域和时间外推场景下优势显著。
...
#让通用机器人成为现实
谷歌RT-2、PaLM-E作者离职创业,已获英伟达投资
又一位 DeepMind 高级研究科学家离开了谷歌,创建了自己的初创公司。
在近日召开的英伟达 GTC 的一个小组讨论会上,谷歌 DeepMind 高级研究科学家、RT-2 作者 Pete Florence 以 Generalist AI 联合创始人兼首席执行官的身份出席。

人工智能浪潮的来临让英伟达这家公司获得了巨大的财务成功,与此同时,NVentures 也成为一家格外活跃的风险投资公司。但目前我们无从得知 Pete Florence 的公司获得了多少来自英伟达的投资。
「我们基本上仍处于隐秘状态,」Pete Florence 在 GTC 讨论会上表示,暂时无法具体说明自己的初创公司在做什么。但答案也很明显了,公司将专注于机器人技术。
因为他在回答「如果他的初创公司获得巨大成功,世界会变成什么样子」问题时,是这么说的:
「我们的目标是制造能做任何事情的机器人。想象一下,在这个世界上,体力劳动的边际成本将趋于 0。」
「让通用机器人成为现实」
Florence 表示,自己创办这家公司的使命是「让通用机器人成为现实」。
根据其领英个人资料,Florence 一年前离开了 DeepMind。他加入了 DeepMind 前同事的行列 —— 选择一条喜欢的赛道,创办自己的公司。

在加入谷歌之前,他在麻省理工学院获得了计算机科学博士学位,师从 Russ Tedrake。Tedrake 教授在机器人学领域有着显著的成就和广泛的影响力,研究领域包括机器人动力学分析、控制器设计和仿真等。
4 年多的谷歌 DeepMind 生涯中,Pete Florence 参与了很多项具备里程碑意义的机器人和大模型研究,其中最具代表性的有 PaLM-E、RT-2。

随着 GPT-4 等大型语言模型与机器人研究的结合愈发紧密,人工智能正在越来越多地走向现实世界,因此xx智能相关的研究也正受到越来越多的关注。在这一领域,谷歌始终处于比较前沿的位置。(参考内容:《大模型正在重构机器人,谷歌 Deepmind 这样定义xx智能的未来》)
PaLM-E 是一种多模态xx视觉语言模型(VLM),2023 年 3 月发布。该模型集成了参数量 540B 的 PaLM 和参数量 22B 的视觉 Transformer(ViT),使用文本和来自机器人传感器的多模态数据(比如图像、机器人状态、场景环境信息等)作为输入,输出以文本形式表示的机器人运动指令,进行端到端的训练。PaLM-E 实现了对xx任务的决策方案预测,不涉及机器人动作的实际控制,需要依赖低级别的现成策略或规划器来将决策方案「翻译」为机器人动作。
RT-2 是全球第一个控制机器人的视觉 - 语言 - 动作(VLA)模型。这个模型让机器人不仅能解读人类的复杂指令,还能看懂眼前的物体(即使这个物体之前从未见过),并按照指令采取动作。比如,你让机器人拿起桌上「已灭绝的动物」。它会抓起眼前的恐龙玩偶。RT-2 被认为是机器人制造和编程方式的重大飞跃。

只需要像对话一样下达命令,它就能在一堆图片中辨认出霉霉,并送给她一罐可乐。

这些研究让谷歌 DeepMind 机器人团队始终保持着技术领先性,本月,团队有发布了用于控制机器人的新模型,这些模型的论文中还 4 次引用了 Florence 的成果。
核心团队来自 OpenAI、波士顿动力、DeepMind
在 Pete Florence 之外,这家公司的其他核心成员都来自知名科技公司。
同为谷歌 DeepMind 机器人团队前成员的 Kamyar Ghasemipour,也加入了 Generalist AI 成为创始成员。

OpenAI 前工程负责人 Evan Morikawa,曾领导过 ChatGPT、GPT-4、DALL・E 和 API 上线,从 OpenAI 离职后加入了这家初创公司。

团队成员还有前波士顿动力高级机器人科学家 Andrew Barry 和 Deep Mind 研究科学家 Andy Zeng。Andrew Barry 的个人主页显示,他担任的职位是联合创始人和 CTO。Andy Zeng 的社交媒体则没有透露更多信息。

参考链接:
...
#DecoupledGaussian
用于基于物理交互的物体与场景解耦
DecoupledGaussian 提出了一种从野外视频或多视角图像中分离物体与其接触场景的创新方法,为基于物理的交互模拟奠定基础。传统方法通常依赖于合成数据或仅实现表面弹性抖动,导致物体难以完全脱离接触表面进行独立运动。
为解决这一问题,该工作首先利用 Gaussian Splatting (GS) 对场景进行三维重建,通过平面约束和高斯分割获得初步几何信息。随后,系统采用联合泊松场方法对物体和场景断裂区域进行修复,重建出完整、精确的三维结构;同时,利用代理点辅助恢复物体复杂的几何细节,并引入单边负交叉熵(UNCE)在多视角下优化雕刻结果,减少渲染和几何误差。最终,结合 MLS-MPM 模型实现实时交互模拟,支持物体在受力后发生碰撞、断裂和材质变化等复杂物理现象。
实验结果表明,该方法在恢复精度和模拟真实感上均优于现有技术,为虚拟现实、机器人和自动驾驶等领域提供了有力的数字交互工具。
为了更好的帮助大家了解这项工作,最新一期线上分享邀请到论文一作、爱丁堡大学在读博士王淼威,为大家进行详细介绍DecoupledGaussian。
...
#2025 年,通用机器人要从实验室走向市场了吗?
近期,英伟达 CEO 黄仁勋在 GTC 2025 大会上预测,「我们将进入代理式 AI(Agentic AI)的时代,接下来将是物理 AI(Physical AI),也就是机器人的时代。」
目录
01. 都在卷通用机器人的「大脑」?
为什么 2025 年,各家都在卷通用机器人的「大脑」?...
02. 通用机器人领域的关键玩家们近期都在做什么?
这些关键玩家谁能做成通用机器人的「基座」?
通用机器人控制模型技术路线还没有收敛?
真机数据还是合成数据,通用机器人核心问题数据如何解决?
通用机器人领域的关键玩家们近期都在做什么?...
01 都在卷通用机器人的「大脑」?
1、机器人初创公司 Figure AI 近期提出了一个通用xx智能模型 Helix,是首个能够输出高频率连续控制整个类人上肢的 VLA。Helix 模型实现的突破性效果,引发了近期对于xx机器人领域进展的关注。
2、Figure AI 的 CEO 布雷特·阿德科克在近期的一次访谈中预测,人形机器人领域最终胜出的公司数量会很少,可能只有一两家。因为需要大量的资金、优秀的团队以及大规模的机器人生产来降低成本并实现数据共享和学习。
3、国内外通用机器人领域的几十家关键玩家谁能成为最终胜出的这「一两家」我们不得而知,而近期该领域的产品、技术进展颇多,通过观察近段时间各家发力的方向也许能找到一些「蛛丝马迹」。
4、一个趋势是目前都在发力做通用机器人的「基座」,「基座」的具体形态可能是通用xx智能模型,也可能是通用xx智能平台,旨在让通用「基座」实现跨实体、适用于不同场景。
① 例如,Figure AI 推出了通用xx智能模型 Helix;英伟达推出了通用人形机器人基础模型 GR00T N1;智元机器人推出了通用xx基座大模型 GO-1;北京人形机器人创新中心推出了通用xx智能平台 「慧思开物」。
② 但做通用机器人控制模型,在技术路线上仍没有收敛,分层与端到端两个技术方向的优劣势各有不同。
③ 此外,还有一个方向是给通用机器人的「控制器」加入空间推理能力,从 2D 跨越到 3D 场景的转变。例如,谷歌推出的机器人xx智能大模型 Gemini Robotics-ER 重点在空间推理方面,能够更好地适应动态环境。
5、另一个「发力」方向为解决通用机器人的数据问题。数据方面,包括解决机器人异构数据的融合问题、提升数据-性能的转化率、真实数据还是合成数据的分歧、以及如何用好互联网中的视频数据等。
① 例如,Figure AI 构建了一个独特的数据引擎;英伟达推出用于合成操作运动生成的工具「Isaac GR00T 蓝图」;智元自研了用于提升数据利用率的 ViLLA 架构;傅利叶智能开源了真机训练数据集「Fourier ActionNet」。
02 通用机器人领域的关键玩家们近期都在做什么?
1、机器人初创公司 Figure AI 提出了通用xx智能模型 Helix。Helix 模型能以 200Hz 的高频率协调 35 自由度的动作空间,控制从单个手指运动到末端执行器轨迹、头部注视和躯干姿势等一切。且具备优秀的零样本泛化能力,能够识别并操作数千种从未见过的小型家居物品。[2-1]
2、Helix 是一个通用的视觉 - 语言 - 动作(VLA)模型,也是同类产品中首个采用「系统 1 + 系统 2」框架的 VLA 模型。这两个系统经过端到端的训练,可以进行通信,并高速、灵巧地控制整个人形机器人上半身。系统 1 (S1) 是一种快速反应的视觉运动策略,可将 S2 产生的潜在语义表征转换为 200 Hz 的精确连续机器人动作。系统 2 (S2) 为一个 VLM 骨干网络,基于 70 亿参数的开源、开放权重的 VLM 构建,用于场景理解和语言理解,实现跨物体和上下文的广泛泛化。
① Helix 的特点是使用一套统一的神经网络权重来学习所有行为,只需维持单个训练阶段和一组神经网络权重,无需单独的动作头或针对每个任务的微调阶段。
2、对于机器人数据方面,Figure AI 构建了一个独特的数据引擎,随着机器人的不断运行,AI 数据引擎将收集并整理数据用于训练模型,不断提升性能。Figure 于去年 8 月推出的人形机器人 Figure 02,数据引擎通过不断地从云端获取、更新和优化最新的 AI 模型,并且这些模型在机器人的 GPU 上运行,确保了 Figure 02 在执行任务时的智能性和适应性。

图:Figure AI 数据引擎
3、Figure AI 的 CEO 布雷特·阿德科克也曾在一次访谈中提到对于机器人数据的重要性。布雷特认为,大型语言模型(LLM)中并不存在真实的机器人操作数据 ......
...
更多推荐


所有评论(0)