cass或cad里提取点坐标及高程的插件_精密三角高程在长距离一等跨河水准测量中的应用...
通过分析长距离跨河水准测量的高差计算模型,针对三角高程测量中各精度影响因素制定合理的施测方案,并通过工程实例予以可行性验证。结果表明: 采用高精度仪器、特制的觇灯,并遵循科学的观测方法,能够有效减弱垂直角观测及大气折光对三角高程测量精度的影响,并使其满足长距离跨河水准测量的精度要求。 引言 当水准路线通过江河、湖泊时,通常采用跨河水准测量法施测。根据《国家一、二等水准测量规范》( G...
通过分析长距离跨河水准测量的高差计算模型,针对三角高程测量中各精度影响因素制定合理的施测方案,并通过工程实例予以可行性验证。结果表明: 采用高精度仪器、特制的觇灯,并遵循科学的观测方法,能够有效减弱垂直角观测及大气折光对三角高程测量精度的影响,并使其满足长距离跨河水准测量的精度要求。
引言
当水准路线通过江河、湖泊时,通常采用跨河水准测量法施测。根据《国家一、二等水准测量规范》( GB/T12897-2006) ,跨河水准测量可以采用的方法有光学测微法、倾斜螺旋法、经纬仪倾角法、测距三角高程法和GPS测量法。其中测距三角高程法具备如下优点: ①不要求仪器和观测员频繁调岸,有利于提高作业效率; ②对跨河场地的要求更低,两岸跨河点不必等高; ③适用的跨河距离较长。但在实际作业中,仍然存在一些因素影响着测量成果的精度,制约着测量工作的效率。尤其在高精度、长距离跨河水准测量工作中,这些影响因素的存在更加不容忽视。鉴于此,本文通过分析和研究,制订出合理的施测方案,并在苏通段一等跨河水准测量中予以验证。
1、长距离跨河水准测量精度影响因素分析
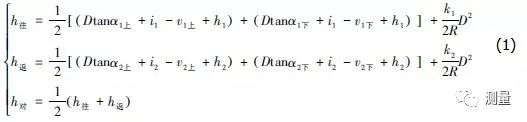
长距离跨河水准测量通常采用对向观测的方法,其高差计算模型如公式( 1) 所示:

式中,D 为视线水平距离; α下、α上 为觇标上下标志所对应的垂直角; i 为仪器高,v1、v2 分别为觇标上下标志高度; h 为仪器安置点至觇标安置点间的高差; R 为地球曲率半径; k1、k2 为大气折光系数。
由式( 1) 可知,影响高差计算精度的主要因素有距离测量、垂直角测量、仪器高和觇标高量测所带来的误差,同时还应顾及大气折光的影响:
1) 由于两岸观测点高差不大,因此,距离观测误差的影响基本可以忽略;
2) 垂直角观测误差是三角高程测量误差的主要来源,并与观测距离成正比;
3) 仪器高和觇标高误差比较容易控制,不是三角高程测量误差的主要来源;
4) 大气折光误差与温度、气流等不可见因素有关,并且k 值无法精确求得,因此是三角高程测量误差的主要来源。
在测量工作中,针对以上各方面因素需制定合理的施测方案以最大限度地减弱其影响,从而满足长距离跨河水准测量对三角高程测量的精度要求。
2、长距离跨河水准测量施测方案
2.1 选点与造标
在长距离跨河水准测量中,需要具备较多的图形检核条件,应此将跨江点布设呈大地四边形如图1所示 。观测墩墩面距江面高度应不低于m( S 为跨河视线长度千米数) 。

为减小测线上的大气折光不均匀对垂直角测量的影响,要求两岸观测墩处的地形、地貌近似,高差不大; 同时为保证往、返测线穿过同一个大气介质,需在每个观测墩面设置两个强制对中装置,分别安置仪器和觇标,如图2所示: A、B、C、D 为仪器安置点,A-1、B-1、C-1、D-1 为觇标安置点。

2.2 觇灯的设计及高度标定
为提高垂直角观测精度,在长距离跨河水准测量中采用特制的觇灯作为观测目标,并且在设计中应注意以下几点:
1) 灯杆与灯筒相连处应采用弧形设计,并且弧度严格吻合,防止灯筒滑动;
2) 灯杆下端采用基座固定,并且保证观测时灯杆下端与强制对中连接螺丝上端严密接触;
3) 采用卤钨杯灯( 50W) 作为发光部,可防止观测时测灯出现散光及目标模糊现象;
4) 觇灯电源应具备足够的蓄电量,并且设计调控装置,在保证测量工作顺利进行的同时能够在不同的光照条件下调节觇灯的亮度。
觇灯上下标志高度的标定在室内进行。方法为: 采用线纹尺在灯杆连接孔之间进行往返观测,往测顺序为:上孔上沿—上孔下沿—下孔上沿—下孔下沿; 返测顺序与往测顺序相反。以往返测高度的均值作为觇灯高度标定的最终成果。
2.3 仪器的选择及高度标定
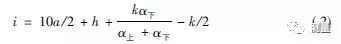
在长距离跨江水准测量中需采用两台测角精度为0.5″的全站仪同时进行对向观测。仪器高度的标定选在固定两点间( 高差为一等水准测量成果) ,利用铟瓦水准标尺在测前、测中、测后分三次进行标定。首次标定时需用胶布将仪器脚螺旋固定,取三次标定结果中数作为全站仪高度标定的最终成果。计算方法如式2、式3 所示:
当全站仪中丝位于标尺分划线上时:

式中,α 为照准标尺的分划读数; h 为测站点至立尺点高差; k 为标尺分划线宽; α下 和α上 分别为分划上、下边缘垂直角绝对值。
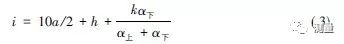
当全站仪中丝位于标尺两分划线之间时:

式中,k 为标尺相邻分划线间隔; α上 为上分划线上、下边缘垂直角中数的绝对值; α下 为下分划线上、下边缘垂直角中数的绝对值。
2.4 距离测量
全站仪的测程往往难以满足长距离跨河水准测量的测距要求,且测距误差并非三角高程测量的主要误差来源,因此采用GPS 测量法。考虑到多路径效应对观测结果的影响,应采用扼流圈天线,并保证每时段观测时间≥4 h。利用三维无约束平差求得的平面坐标反算观测平距。
2.5 垂直角测量
顾及大气折光的影响,在垂直角测量时采用多光段、多测回的方法加以克服。但应舍弃规范中“组”的概念,每次盘左、盘右观测即对应一个垂直角,观测限差在相邻两垂直角之间执行,不在“组”之间执行。两台仪器对向观测时,应使用通信设备,每测回观测开始时间严格同步,结束时间差不大于15 s。观测程序为:
1) 在A、C 点架设仪器,A-1、C-1 架设觇灯,两岸同步观测对岸觇灯,并测定垂直角;
2) A 点仪器和A-1 点觇灯不动,将C 点仪器和C-1点觇灯迁至D 点和D-1 点,两岸同步观测对岸觇灯,并测定垂直角;
3) D 点仪器和D-1 点觇灯不动,将A 点仪器和A-1点觇灯迁至B 点和B-1 点,两岸同步观测对岸觇灯,并测定垂直角;
4) B 点仪器和B-1 点觇灯不动,将D 点仪器和D-1觇灯重新迁至C 点和C-1 点,两岸同步观测对岸觇灯,并测定垂直角。至此第一个仪器位置的观测结束,两台仪器共完成4 个单测回。
观测时盘左依次照准觇灯上标志、下标志,盘右按相反次序照准下标志、上标志,上、下标志垂直角分别计算高差。半数测回结束后观测员、仪器及觇灯一同调岸。
2.6 直接水准测量
直接水准测量一方面作为高程系的引入使用,另一方面可作为高程传递的检核。按照一等水准要求测量同一观测墩仪器安置点和觇灯安置点( 螺丝顶端) 间、同岸仪器安置点间及仪器安置点和固定点间的高差,并以此作为计算和检核的基准。
2.7 限差验算
同一条测线各双测回的互差限差应符合式( 4) 规定的限值:

式中,MΔ 为每千米水准测量的偶然中误差,单位为mm; N 为双测回的测回数; S 为跨河视线长度,单位为km。
用同一光段的各条测线高差计算图形闭合差,结果应不大于式( 5) 规定的限值:

式中,MW 为每千米水准测量的全中误差,单位为mm; S 为跨河视线长度,单位为km。
3、实例验证
此次苏通段一等跨河水准测量采用以上方法于2017年10 月施测。跨江地点位于常熟市至南通市之间,苏通公路大桥西约1 000 m 处。测线长度约为4.6 km,视线高度南岸约12 m,北岸约8 m,通视良好。跨江图形的布设如图所示。

其中,SL1—ST01、SL01—ST02、SL03—ST04、SL03—SL2、ST01—ST01 - 1、ST02—ST02 - 1、ST03—ST03 - 1 及ST04—ST04-1 各边高差采用天宝DiNi03 数字水准仪按照一等水准测量要求施测; 各测线边长采用4 台天宝5700 型GPS 接收机及扼流圈天线共观测3 个时段; 垂直角测量采用觇灯和两台测角精度为0.5″的全站仪—LeicaTCA2003、LeicaTS30( 高度标定见表1、表2) ,参照规范要求施测30 光段, 60 个双测回。一光段内每条测线垂直角观测16 个测回,即每条测线垂直角共观测480 个测回。

全站仪标定成果

觇灯标定成果
由大地四边形组成6 个闭合图形( 其中3 个为独立闭合图形) ,每光段分别计算闭合差,经内业验算得知: 施测的30 个光段中有5 个光段存在部分图形闭合差超限现象,分析超限的原因为气温突变时江面大气折光影响变化较快导致部分测线高差值偏小,重测此类测线后发现30 个光段中每条测线光段间高差较差及每光段内各图形闭合差均满足限差要求。其中,光段间高差互差最大为29.50 mm,小于限差31. 18 mm; 图形闭合差最大为12.81 mm,小于限差13.42 mm; 中数闭合差最大3.70 mm,最小0.39 mm。各图形闭合差统计结果由表3 列出:其中,3个独立图形分别为ST01-ST02-ST03、ST01-ST02-ST04 及ST01-ST03-ST04,由三者的中数闭合差计算每公里高程测量的高差中误差为0.55 mm/km。由此可见,本文提出的施测方案完全能够满足长距离一等跨河水准测量的精度要求。

图形闭合差统计结果
4、结束语
本文通过对三角高程测量精度影响因子的分析,制订长距离跨河水准测量施测方案,并在苏通段一等跨河水准测量中予以验证。结果证明,采用高精度仪器、特制的觇灯,并遵循科学的观测方法,能够有效减弱垂直角观测及大气折光对三角高程测量精度的影响,并使其满足长距离跨河水准测量的精度要求。因此,本文提出的施测方案可适用于高精度跨河水准测量、高精度跨江水准测量以及高精度跨海水准测量。

【1】史上最齐全的CAD下载资源!!!
【2】【BIM软件】Revit 2018软件安装包免费送,内附安装教程!
【3】南方CASS展点方法视频教程
【4】坐标转换中的七参数详谈,测量员值得收藏
【5】道路横断面图手动快速绘制方法
【6】南方Cass两期间土石方计算之三角网法
【7】用excel快速制作cad断面图示例(绝对有用)
【8】CAD中提取坐标生成表格(附下载)
【9】CAD坐标标注插件(附下载)
【10】pdf转cad的软件(附下载)
【11】介绍个方法,可以用cad直接展点的方法。
【12】CAD图形导入奥维地图最简单、实用的方法
【13】仿纬地菜单插件(附下载)
【14】教你如何用纬地道路设计软件将“直曲线及转角表”转换为线路图
【15】在南方CASS中怎么生成断面?生成完断面之后又怎么用断面计算土方?
【16】工程人必须会用的一个excle函数,让你做资料“事半功倍”
【17】Cass软件坐标转换方法
【18】设计图计算E匝道的逐桩坐标案例的计算方案
【19】RTK坐标参数转换,图文教程!
【20】RTK技术支持中最常遇到的问题总结,RTK问题对照解决方法
【21】RTK假固定的原因与解决办法!
【22】全站仪棱镜常数及测定方法
【23】全站仪放边坡开挖线方法
【24】全站仪数据采集和传输中的常见问题解决方案
【25】这可能是最全面的全站仪常见问题解答了
【26】全站仪任意点架设仪器测高程的各种方法的讨论
【27】手把手教你维修全站仪(收藏版)
【28】RTK假固定的原因与解决办法!
【29】【案例】高海拔地区GPS、RTK使用应注意的一个问题
【30】水准仪高程测量计算方法(动画展示)

扫码
小编

即可
进群
更多推荐


所有评论(0)